2
svar
143
visningar
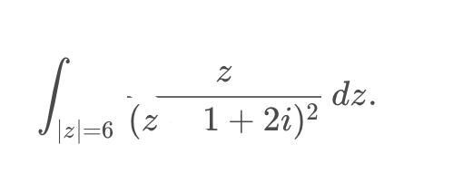
Funktionsteori - beräkning av integral med dubbel singularitet
Hej!!
Jag har lite svårt för att förstå hur man ska räkna ut denna uppgift! All hjälp uppskattas :)

Ska stå z-1!
Hej!
Du bör kunna använda Cauchys integralformel (eller snarare "deriveringsformeln"):
.
Vad är ditt ? Uppfyller funktionen alla villkor?
Okej!! Ja den ser ju användbar ut! Tack så jättemycket för hjälpen!