Funktionsteori - teori kring holomorfa funktioner
Hej!!
Jag skulle verkligen behöva hjälp med båda a och b delen i denna uppgift!
Har inte några speciella tankar om hur jag skulle kunna lösa den, men står i facit att man ska använda cauchys integralformel, men får inte riktigt rätt på det :(
Tacksam för all hjälp <3
Hej!
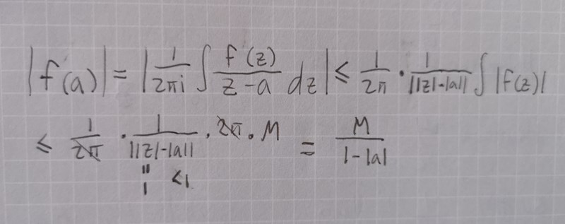
Börja med att skriva ner Cauchy's integralformel. Hur ser den ut för en funktion (som uppfyller villkoren) ? Vad händer om du tar beloppet av integralen?
Nu har jag undrat i flera dagar så tar mig friheten att kidnappa den här 😉
Hur får man in en derivata i det hela och är det ett problem att randen inte är med i området som integreras runt?

Välj något i enhetsskivan. Om vi väljer tillräckligt litet så kan vi konstruera en cirkel inuti enhetsskivan, centrerad i med radien . är holomorf i området innanför så Cauchys integralformel ger Derivatan av detta ges av Ta beloppet på båda sidor för att få När detta är gjort kan vi ta gränsvärdet av båda sidorna av olikheten då går mot . Notera att vi inte kan välja från början då måste vara holomorf på kurvan för att vi ska kunna tillämpa Cauchys integralformel.