Beräkna Bromskraft
En bil som väger 1150kg bromsar från 80km/h till 0 km/h på 29 meter.
a) Beräkna bromskraften.
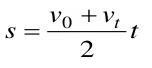
Har suttit med denna ett tag och vet inte vad jag ska göra. Jag har använt formeln:
och formeln:
.jpg?width=800&upscale=false)
Då har jag fått fram att a=-110 m/s och att t=0.725 (men jag vet ej enhet??)
När jag sedan tar m*a för att få fram kraftresultanten blir det ca -126,8 kN. Jag tror inte att något av mina svar stämmer men även om de hade gjort det vad gör jag nu för att få fram själva bromskraften??
Vänligen undvik lösningar innehållandes kinetisk energi etc då jag inte har haft det än.
-110 meter per sekundkvadrat är en väldigt kraftig inbromsning. Det motsvarar att bromsa från 110 m/s (=396 km/h) till stillastående på 1 sekund. Sätt in enheterna när du räknar så får du rätt enhet i svaret! Du har använt rätt formler och målet är att bestämma accelerationen. Sedan kan du bestämma bromskraften med Newtons andra lag.
Haha ja det var därför jag antog att jag var helt ute och cyklade. Men det är det som är problemet, jag vet inte vilka enheter t.ex. V ska vara i? km/h eller m/s..? Och oavsett vad blir t? Sekunder, timmar eller minuter? Jag kan ingenting om sambandet mellan dem och vad jag ska göra om dem till innan jag sätter in dem i formeln.
Om du är osäker så är det bäst att först göra om allt till SI-enheter (kilogram, sekunder, meter, meter per sekund, meter per sekundkvadrat)
Kan du skriva 80 km/h och 0 km/h som m/s till att börja med?
Okej, om jag gör om km/h till m/s (genom att dela med 3.6) så får jag att t=2.63 och a= -8,34. Kraftresultanten blir då -9.59kN. Vilket är rätt svar förutom minustecknet. Gjorde jag något fel eller spelar det ingen roll eftersom kraften kanske räknas som minus då den går bakåt så att säga?
Ska man alltid göra om km/h till m/s i beräkningar? Jag trodde km/h var SI-enheten för hastighet.
Gällande att F=m*a , Hur kommer det sig att bromskraften är det som motsvarar kraftresultanten (om det går att förstå hur jag menar). Tänkte först att bilen har en kraft framåt och en bakåt, bara det att den bakåt var starkare då bilen bromsas ner. Så tänkte att svaret på frågan skulle vara den större kraften minus den mindre. Jag vet väl inte om hastigheten är konstant?
Kraft, acceleration och hastighet är vektorer. Det betyder att de både har storlek och riktning. Man får själv välja vad som är positiv riktning. Vi har sagt att hastigheten är (+)80 km/h och med det har vi sagt att positiv riktning är framåt. Om vi får negativa värden på acceleration och kraft innebär de att de är riktade bakåt, vilket ju är ganska logiskt! Saker som massa och sträcka är däremot inte vektorer (de kallas skalära storheter) och saknar därmed riktning. Man kan inte säga att något är -10 kg tungt eller är -35 cm långt. Riktning saknar mening i dessa fall.
Här kan du läsa mer om SI-enheter. Om enheten innehåller ett prefix (centi-, milli- osv) är det generellt inte en geundenhet SI-systemet. Undantaget är kilogram som är en grundenhet trots att den har prefixet kilo-.
Okej, Tack så mycket för hjälpen! :)
Gällande att F=m*a , Hur kommer det sig att bromskraften är det som motsvarar kraftresultanten (om det går att förstå hur jag menar).
Man kan använda F=ma på alla krafter och räkna ut hur stor acceleration varje kraft bidrar med, men vi kan bara mäta nettoaccelerationen hos bilen och den orsakas av nettokraften/kraftresultanten.