Fysik 1 räkna med relativitet
Rymdskeppet New Horizon sköts upp januari 2006. Den har en medelhastighet som är 5% av ljushastigheten, längden 2,7 m, massan 478 kg och effekten 228 W.
a) Den passerade Pluto juli 2015, alltså efter 9,5 år. Hur lång tid har det då gått på ombord på rymdskeppet?
Beräkna även differensen i dagar och timmar jämfört med ”jordtid”.
b) Men redan efter halv år passerade New Horizon astroiden 132524 APL,
som har diametern 2,4 km.
Vilken längd, i rörelseriktningen, kommer New Horizons uppmäta?
Beräkna även differensen i meter.
c) Hur stor relativistisk rörelseenergi hade New Horizon?
----------------------------------------------------------
Så långt jag kommit är att jag räknat ut medelhastighastigheten 0.05*299 792 458 m/s= 14 989 622,9 m/s
Men sen så är jag osäker på vilken formel jag ska använda mig utav. Jag vet ju att jag är ute efter tid och att jag har hastigheten, längden, massan och effekten.
Vilka formler kan du hitta, som skulle kunna vara användbara? Du vill ha fram en tid (a), en längd (b) och en rörelseenergi (c) så du behöver (minst) tre olika formler.
Smaragdalena skrev:Vilka formler kan du hitta, som skulle kunna vara användbara? Du vill ha fram en tid (a), en längd (b) och en rörelseenergi (c) så du behöver (minst) tre olika formler.
Jag har räknat lite mer nu och kom fram till detta:
Observatör i jordens referenssystem
Vi mäter tiden t (stationär klocka)
t=9,5 år, 83220h
Observatör i rymdraketens referenssystem
Vi mäter tiden t0 (klocka i rörelse)
v=0.05c, ljusets hastighet
t=t0/√(1-(v2/c2)) ger t0 = t * √(1-(v2/c2))
v=0.05c ger t0 = t * √(1-(0.052*c2/c2))
t0=t√(1-0.052)=t*0,0025
t = 9,5 år , t0=9.5*0.0025= 0.02375 år
Här använde jag ju mig utav gammafaktorn och tidsdilatationsformeln
Alligatorn skrev:Smaragdalena skrev:Vilka formler kan du hitta, som skulle kunna vara användbara? Du vill ha fram en tid (a), en längd (b) och en rörelseenergi (c) så du behöver (minst) tre olika formler.
Jag har räknat lite mer nu och kom fram till detta:
Observatör i jordens referenssystem
Vi mäter tiden t (stationär klocka)
t=9,5 år, 83220hObservatör i rymdraketens referenssystem
Vi mäter tiden t0 (klocka i rörelse)
v=0.05c, ljusets hastighett=t0/√(1-(v2/c2)) ger t0 = t * √(1-(v2/c2))
Nej,t=t0/√(1-(v2/c2)) ger t0 = t . √(1-0,05) = t.√0,95 =t.0,97 ungefär
Resten blir konstigt.
Smaragdalena skrev:Alligatorn skrev:Smaragdalena skrev:Vilka formler kan du hitta, som skulle kunna vara användbara? Du vill ha fram en tid (a), en längd (b) och en rörelseenergi (c) så du behöver (minst) tre olika formler.
Jag har räknat lite mer nu och kom fram till detta:
Observatör i jordens referenssystem
Vi mäter tiden t (stationär klocka)
t=9,5 år, 83220hObservatör i rymdraketens referenssystem
Vi mäter tiden t0 (klocka i rörelse)
v=0.05c, ljusets hastighett=t0/√(1-(v2/c2)) ger t0 = t * √(1-(v2/c2))
Nej,t=t0/√(1-(v2/c2)) ger t0 = t . √(1-0,05) = t.√0,95 =t.0,97 ungefär
Resten blir konstigt.
okej, på b uppgiften så har jag gjort lite uträkningar.
t=0,5år, 4380h, 15 768 000 s
v=0.05c= 14 989 622,9 m/s
s=v*t = 14 989 622,9 m/s * 15 768 000 s = 236 356 373 887 200 meter.
Jag har bara räknat ut sträckan enkelt genom s=v*t, men det känns lite för enkelt?
Det du räknar ut (vad det nu är) har ingneting med b-uppgiften att göra. På b-uppgiften behäver du använda dig av längdkontraktionen p g a den höga hastigheten.
b) Men redan efter halv år passerade New Horizon astroiden 132524 APL,
som har diametern 2,4 km.
Vilken längd, i rörelseriktningen, kommer New Horizons uppmäta?
Beräkna även differensen i meter.
Du vet alltså asteroidens diameter mätt i Jordens referenssystem. Du skall beräkna längden i New Horizon:s referenssystem.
Smaragdalena skrev:Det du räknar ut (vad det nu är) har ingneting med b-uppgiften att göra. På b-uppgiften behäver du använda dig av längdkontraktionen p g a den höga hastigheten.
b) Men redan efter halv år passerade New Horizon astroiden 132524 APL,
som har diametern 2,4 km.
Vilken längd, i rörelseriktningen, kommer New Horizons uppmäta?
Beräkna även differensen i meter.Du vet alltså asteroidens diameter mätt i Jordens referenssystem. Du skall beräkna längden i New Horizon:s referenssystem.

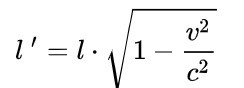
𝑙0=2,4km och v=0,05c ger
𝑙=2,4km*√( 1-0,052-c2/c2)= 2,4m*√(1-0,052)=2,07km
Enligt observatören på rymdraketen är diametern på asteroiden 2007m.
Det var halva b-uppgiften.
Smaragdalena skrev:Det var halva b-uppgiften.
Ska jag nu räkna ut hur stor rymdraketen ser ut från observatören på asteroiden?
Andra halvan är
Beräkna även differensen i meter.
Smaragdalena skrev:Andra halvan är
Beräkna även differensen i meter.
Okej, C) 
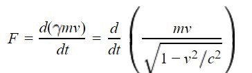
Jag antar att jag ska använda mig utav denna formeln.
Det där ser ut som en halv fomel. Vad står det på andra sidan likhetstecknet?
Smaragdalena skrev:Det där ser ut som en halv fomel. Vad står det på andra sidan likhetstecknet?

Har du för avsikt att använda den halva formeln i inlägg #11 eller den som är i inlägg #13? Vad är det för storhet du vill beräkna? Det är ite en kraft man frågar efter.
Smaragdalena skrev:Har du för avsikt att använda den halva formeln i inlägg #11 eller den som är i inlägg #13? Vad är det för storhet du vill beräkna? Det är ite en kraft man frågar efter.
Nej det tänkte jag också, jag vill ju ha ut den totala rörelseenergin.
Hittar du någon formel för relativistisk rörelsemängd? Det är ju det man frågar efter.
Smaragdalena skrev:Hittar du någon formel för relativistisk rörelsemängd? Det är ju det man frågar efter.
𝐸𝑡𝑜𝑡^2 = (𝑚𝑐^2)^2 + (𝑝𝑐)^2 där p är rörelsemängd
Alligatorn skrev:Smaragdalena skrev:Hittar du någon formel för relativistisk rörelsemängd? Det är ju det man frågar efter.
𝐸𝑡𝑜𝑡^2 = (𝑚𝑐^2)^2 + (𝑝𝑐)^2 där p är rörelsemängd
𝐸k = 𝐸tot − 𝐸0
𝐸tot = 𝛾𝑚𝑐^2
𝐸0 = 𝑚𝑐^2
Alligatorn skrev:Smaragdalena skrev:Hittar du någon formel för relativistisk rörelsemängd? Det är ju det man frågar efter.
𝐸𝑡𝑜𝑡^2 = (𝑚𝑐^2)^2 + (𝑝𝑐)^2 där p är rörelsemängd
Smaragdalena skrev:Alligatorn skrev:Smaragdalena skrev:Hittar du någon formel för relativistisk rörelsemängd? Det är ju det man frågar efter.
𝐸𝑡𝑜𝑡^2 = (𝑚𝑐^2)^2 + (𝑝𝑐)^2 där p är rörelsemängd
Jag förstår inte vilket stycke du menar?
Stycket om speciella relativitetsteorin, dä rdet står om rörelemängd.
Smaragdalena skrev:Stycket om speciella relativitetsteorin, dä rdet står om rörelemängd.
Ja, syftar du på att man måste göra om formeln så att vi får p=…?
Formeln står i stycket. Här är raderna: (Jag hade hoppats slippa krångla med LaTeX)
Istället för den klassiska fysikens rörelsemängd , visar Einstein att rörelsemängden bättre beskrivs med , där är lorentzfaktorn som beror på hastigheten.