Fysik 3 Rotationsrörelse
Försöker lösa uppgift 6.11 i boken Heureka 3:
6.11
En kula med massan m och radien r hänger i en lätt tråd. Trådens längd är sådan att avståndet från upphängningspunkten till kulans centrum är l.
a) Bestäm svängningstiden vid små utslag. Använd samma typ av samband som i övning 6.10 (lägger uppgiften samt mina lösningar nedan).
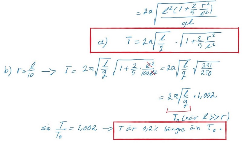
Anta att r=l/10
b) (Tror jag kanlösa den om jag löser a) så skippar att skriva den)
Upg. 6.10 En tunn rak homogen stång med massan m och längden l är friktionsfritt upphängd i sin ena ände och kan svänga i ett vertikalplan.
a) Teckna rörelseekvation med hjälp av sambandet mellan kraftmoment och rörelsemängdsmoment.
b) Visa att svängningstiden vid små utslag ges av
c) Hur lång är en trådpendel med liten kula, som har samma svängningstid.
Lösningar på 6.10


Vid försök att lösa 6.11 så använde jag facit för att försöka komma fram till något vettigt så det bifogar jag nedan.


Tänker att jag på något sätt måste får reda på tröghetsmomentet för kulan och det verkar som att man inte ska anta att kulan är en punktmassa. Vet inte hur jag ska bära mig åt. Tacksam för alla svar :D
Jag tycker inte tröghetsmomentet för kulan borde behövas.
Rassebasse00, det står i Pluggakuens regler att varje fråga skall få en egen tråd. Jag låser den här tråden, men du är välkommen att starta två nya trådar om frågorna. Lägg också tråden på rätt nivå, så underlättar det för oss som svarar. /moderator
Smaragdalena skrev:Rassebasse00, det står i Pluggakuens regler att varje fråga skall få en egen tråd. Jag låser den här tråden, men du är välkommen att starta två nya trådar om frågorna. /moderator
Där är faktiskt bara en fråga
Du har rätt, jag läste slarvigt. Tråden är upplåst. Men du borde fortfarande flytta tråden till rätt nivå! /moderator
Tror det funkar på detta viset... Enda skillnaden mellan uppgifterna 6.10 och 6.11 är att tröghetsmomentet J är olika. I 6.11 är det ml^2 + 2/5*mr^2. Där 2/5*mr^2 står för klotets tröghetsmoment och där ml^2 står för tröghets momentet från ett föremål som hänger i ett snöre.
Tänk på att tyngdpunkten/masscentrum ligger på avståndet l + r från upphängningspunkten.
Tröghetsmomentet J map upphängningspunkten ges av m(l + r)2 + 2mr2/5, enligt Steiners sats.
Här kommer min version av lösningen:


Jag förstår inte hur eftersom det brukar motsvara elongationen, tänker att . Kan någon förklara?
φ (vinkeln tillryggalagd från start) = ω (hastigheten) x t (tiden) fungerar för en cirkulär rörelse med konstant hastighet.
Hastigheten i en pendelrörelse är inte konstant (och byter riktning) och därmed måste sinus blandas in.
Peter_ skrev:φ (vinkeln tillryggalagd från start) = ω (hastigheten) x t (tiden) fungerar för en cirkulär rörelse med konstant hastighet.
Hastigheten i en pendelrörelse är inte konstant (och byter riktning) och därmed måste sinus blandas in.
Är A amplituden? I den här tråden har en användare använt A och en annan a