0
svar
131
visningar
Fysikens Matematiska metoder - Green funktion eller Fourier??
Hej! Jag har en liten undring bara:
I den här uppgiften, tänker jag att man ska spegla funktionen i y axeln för att täcka hela det reella talplanet R2, för att sedan hitta en Green funktion. Men i facit så Fouriertransformerar de hela PDEn istället. Så min fråga är varför man inte kan spegla och använda Green? Eller om båda sätt fungerar? 
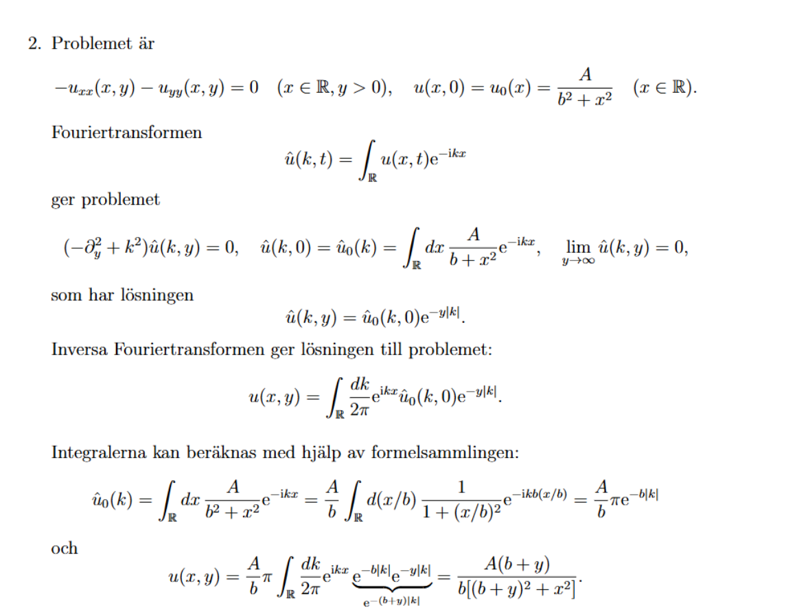
FACIT ---v
