3
svar
119
visningar
Marcus N behöver inte mer hjälp
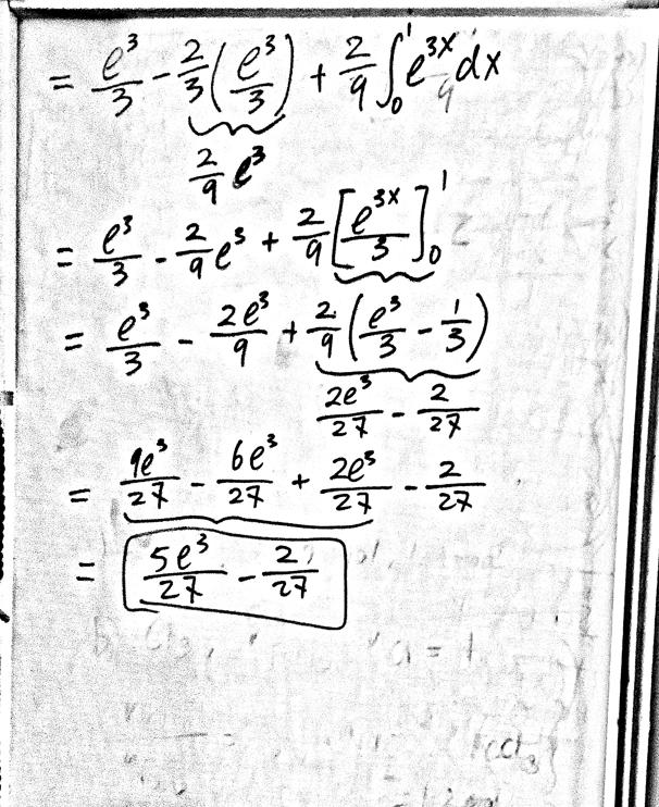
Gamla tenta frågan-Beräkna integralen (partialintegration)




Varför står det en -2 i svaret?
Borde inte det blir:
??
Det är nog fel i facit. Integralens värde är i alla fall , och inte . :)
Smutstvätt skrev:Det är nog fel i facit. Integralens värde är i alla fall , och inte . :)
Ja fått -2 också, det kan inte blir -1!
Bra! :)