Gamla tenta frågan - Linser


Facit:


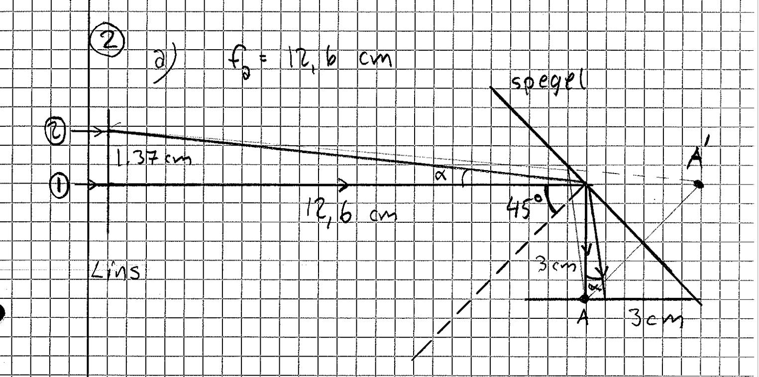
På deluppgiften a)
Hur visst dem att infallsvinkeln(i1) och reflektionsvinkeln (r1) är 45 grader?
Och varför är i2 och r2 för stråle 2 (45+6.21=51.2) grader?
Strålen som går längs optiska axeln ändrar inte riktning efter linsen. Spegelnormalen är vinklad 45° mot optiska axeln. Infallsvinkeln är då 45°.
Parallella strålar in i linsen möts i fokalplanet, som enligt uppgiften ligger 12.6 cm från linsen. Tangens för det som kallas alfa kan då beräknas. Infallsvinkeln är då 45° + alfa.
Dr. G skrev:Strålen som går längs optiska axeln ändrar inte riktning efter linsen. Spegelnormalen är vinklad 45° mot optiska axeln. Infallsvinkeln är då 45°.
Jag föstår inte din förklaring. Vilken är spegelnomarlen och vilken är optiskt axeln? Kan du markerar dem bilden?

Linsens optiska axel i rött.
Spegelnormalen i grönt.
Ritade även ut den övre strålen, som bildar vinkel alfa mot linsens optiska axel efter linsen.
Infallsvinkeln på spegeln är vinkeln mellan stråle och spegelns normal.
Dr. G skrev:Strålen som går längs optiska axeln ändrar inte riktning efter linsen. Spegelnormalen är vinklad 45° mot optiska axeln. Infallsvinkeln är då 45°.
Parallella strålar in i linsen möts i fokalplanet, som enligt uppgiften ligger 12.6 cm från linsen. Tangens för det som kallas alfa kan då beräknas. Infallsvinkeln är då 45° + alfa.
Hur visst du att spegelnormalen är vinklad 45 grader mot optiska axeln?

"Spegeln är vinklad 45° relativt huvudaxeln"
Med figuren så ger det att det är 90° - 45° mellan huvudaxel och spegelns normal.
Tycker man inte att det räcker kan man använda att skärmen är parallell med huvudaxeln. Normalen är per definition 90° mot spegelytan. Den tredje vinkeln i triangeln är då 45°, och den är alternatvinkel med den blå vinkeln (infallsvinkel för den ena strålen).