Gamla tenta frågan - Lös följande D.E (jag förstår inte denna omskrivning)


Hur får vi ?
Har de skrivit om ?
Lägg till +2-2 i täljaren

Hur har dem fått den två sista uttrycket?
ln(a/b) = -ln(b/a)
CurtJ skrev:ln(a/b) = -ln(b/a)
Aaah, snyggt!
Är det verkligen nödvändigt att vi gör detta omskrivning?
Kan man inte bara svarar med den första uttrycket?
c)

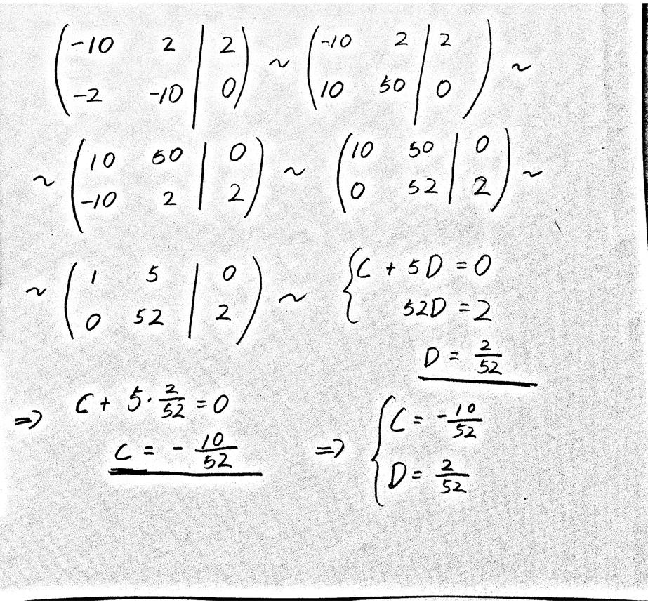
Jag har fått lite olika värde på C och D:


Var har ja gjort fel?
Eller har facit fel från början?
Varifrån kom siffran 2 på näst sista raden i den övre av bilderna?
Smaragdalena skrev:Varifrån kom siffran 2 på näst sista raden i den övre av bilderna?
Det är koefficienten framför sin(2x), och (-10C+2D) ska vara lika med denna koefficienten.
Var hittar du detta?
Diffekvationen är y''-y'-6y = sin(2x), d v s koefficienten är 1. HL kan även skrivas som 1.sin(2x) + 0.cos(2x).