3
svar
119
visningar
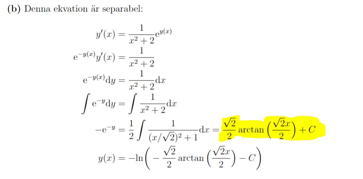
Gamla tenta frågan - Lös följande D.E (separabel D.E)


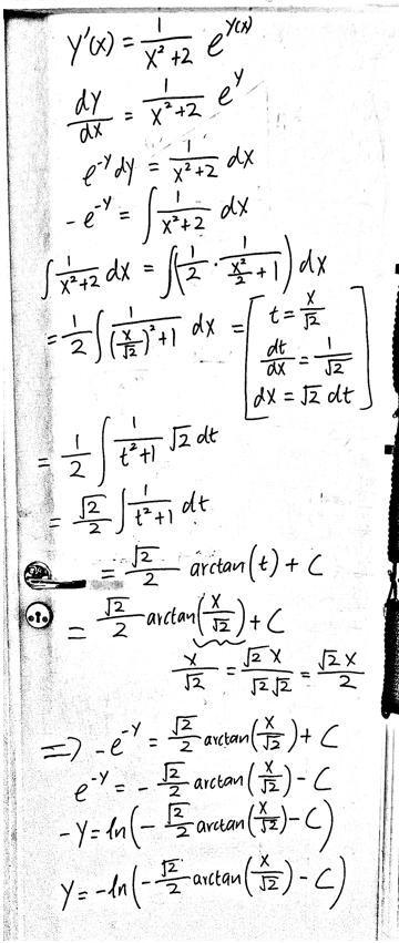
MIn lösning:

Varför får ja inte samma som facit?
Varifrån har de funnit ?
Du tappar inre derivatan när du integrerar fram arctan. Gör ett riktigt variabelbyte när det behövs så slipper du sånna fel.

Sen vet vi:
Då får ja exakt samma svar som visat i facit. Stämmer det?
Ja, nu tycker jag det ser bra ut.