Gamla tenta_3 (diff.ekv./begynnelsevärdsproblem)

Så här lång har ja kommit:

Jag är fastnat med framtagna av den partikulär lösning för s''(t)=-k*s'(t)+t
Prova ett polynom.
Vad menar du?
Jaha, jag såg inte ansatsen. Det är ett förstagradspolynom där. Prova ett polynom av högre grad.
Så ansättning ska vara: Ax^2+Bx ?
Ja, du ser att din ansats krockar med homogena lösningen. Då behöver du lägga till ett x på hela ansatsen.

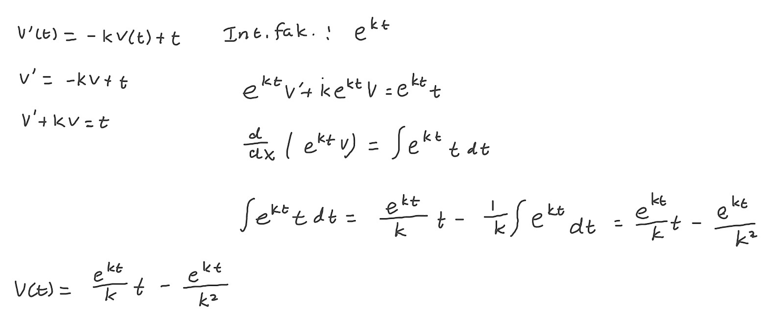
Jag fick fram uttrycket för både s(t) och v(t) men s'(t) är inte lika med v(t). Var har ja gjort fel?
Har du inte glömt hela biten med e i integrerande faktorn?
Micimacko skrev:Ja, du ser att din ansats krockar med homogena lösningen. Då behöver du lägga till ett x på hela ansatsen.
Homogena lösningen är exponentiell och partikulärdelen (eller vad man ska kalla det) är ett polynom. Då krockar de inte.
Fast C2 är ju ett polynom?
Micimacko skrev:Fast C2 är ju ett polynom?
Mm, så kan man ju tänka.
Micimacko skrev:Fast C2 är ju ett polynom?
Rätt förutom sista raden. Vad får du när du integrerar bort derivatan på andra sidan?
Alla konstanter är polynom av grad 0.

Är den här sista raden?
Det ser ut som du glömt att dividera allt med den integrerande faktorn.
Integralen du beräknat är ju lika med v(t)*e^kt.
Dessutom får du en godtycklig konstant då du integrerar. Den måste med för den kommer ju också att delas med integrerande faktorn.
Finns det någon fråga? Det är du som får styra det här, så fortsätt tills du kör fast.
Undrar om den v(t) som jag kommit fram till är korrekt?
Eller kanske ska det vara
??
Det ska vara ett c där. Du glömde sätta dit det när du integrerade.
