4
svar
111
visningar
Marcus N behöver inte mer hjälp
Gamla tentafrågan- Beräkna integral (partialbråksuppdelning)




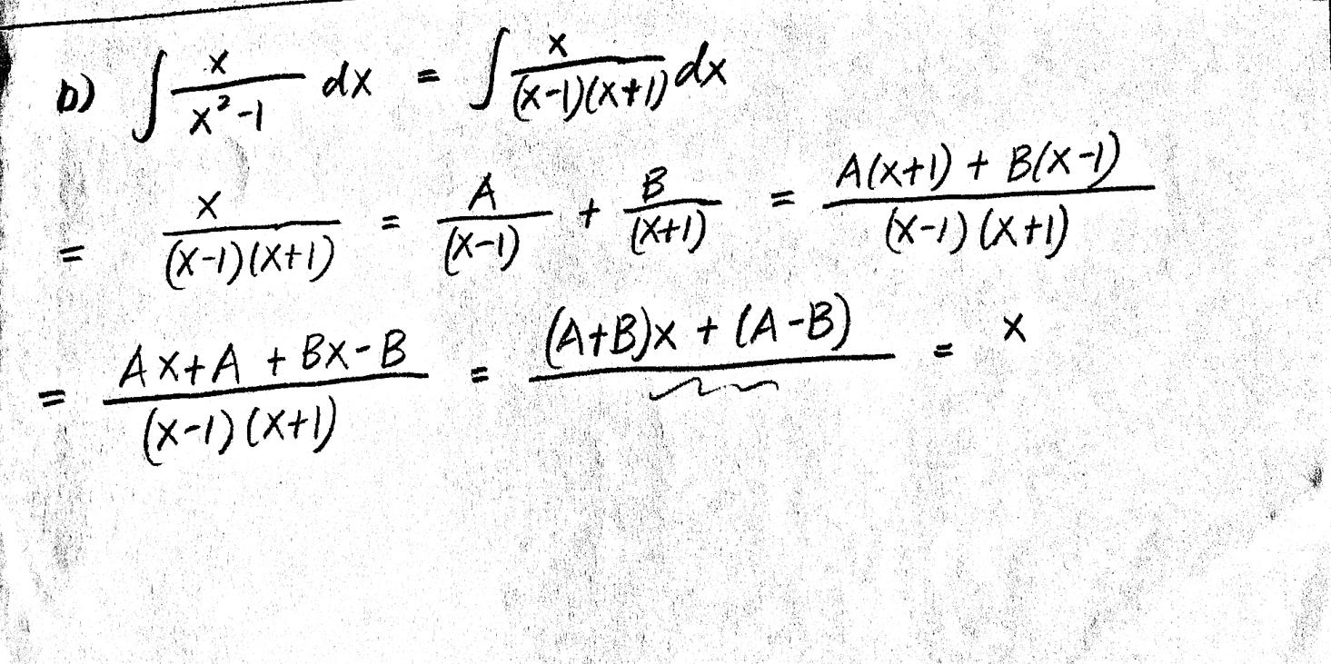
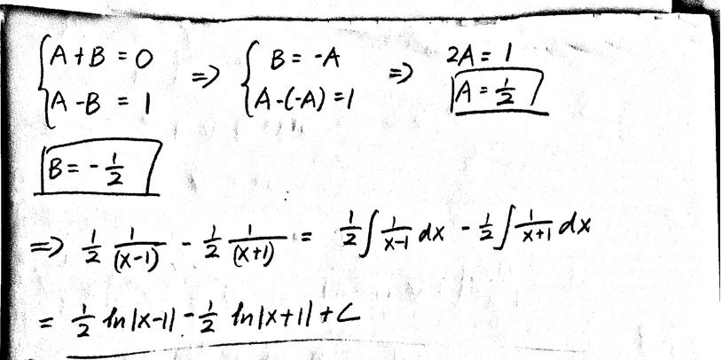
Varför får ja -1/2ln(x+1) istället för +1/2ln(x+1), har ja räknat fel på konstanten B?
Du har ställt upp ekvationssystemet fel, tänk på vad du får 0 och 1 ifrån.
Jag tror i den här fallet (i denna uppgiften) det är bättre om vi använda kedjeintegralen:
Håller du med?
Ja egentligen.
Men hitta felet i uppdelningen också så du inte gör om det nästa gång.
Jo, ja borde sätta (A+B)=1 samt (A-B)=0 sen löser ut A och B.