5
svar
118
visningar
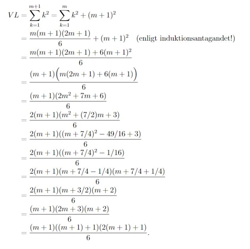
Gamla tentafrågan- induktionsbevis



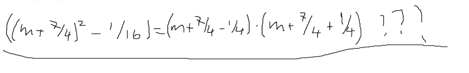
Jag förstår inte hur kan dem vara lika:

Konjugatregeln.
Okej, så
Även om deras lösning är "prydlig" så är det oftare enklare att verifiera ett antagande, i det här fallet att
m(m+1)(2m+1)+6(m+1)^2 = (m+1)(m+2)(2(m+1)+1)
Både VL och HL är lika (efter utveckling)
Sätt bara ett "?" över "=" för varje led du gör och till slut har du verifierat antagandet/likheten.
Man slipper vara "listig", vilket bara tar tid på en skrivning.
Var fick du uttrycket:
?
Hello??