2
svar
87
visningar
Marcus N behöver inte mer hjälp
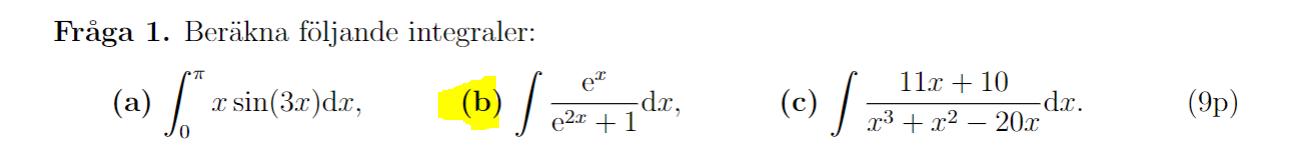
Gamla tentafrågan- integraler, variabelsubstitution

Facit:

Hur visst han (facit) att det är e^x som vi ska byta ut med en ny variabel t?
Finns det någon tips med sådan uppgift, hur vet man direkt att vilket uttryck man ska ersätta med ny variabel t?
Marcus N skrev:
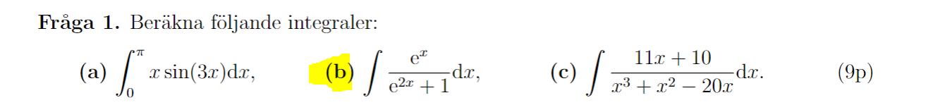
Facit:
Hur visst han (facit) att det är e^x som vi ska byta ut med en ny variabel t?
Finns det någon tips med sådan uppgift, hur vet man direkt att vilket uttryck man ska ersätta med ny variabel t?
"Han" visste det p.g.a. av han säkert tagit exemplet från en annan bok :). Men hur man "vet" detta i allmänhet är genom (lång) erfarenhet av vad som är lämpligast. Det finns få fasta regler när det variabelsub.
Vad är dessa fasta regler då? Som kan hjälpa oss hitta den lämpligast substitution.

