5
svar
215
visningar
Marcus N behöver inte mer hjälp
Gamla tentafrågan_Cramers regel

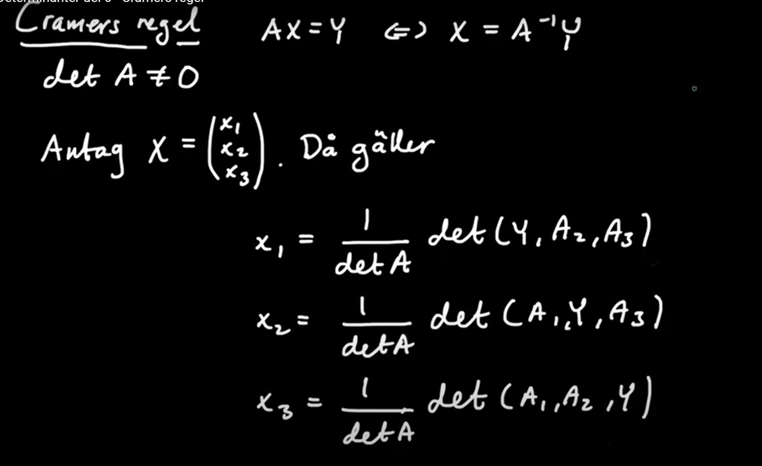
Den Cramers regel som vi gickt igenom under lektionen ser ut så här:


Varför är y(högerledet) beräknat på den här sättet? Och varifrån fick de ettan på position ?
y är värdet vi vill beräkna, utav (x, y, z), vilket motsvarar i din förklaring av Cramers regel. Ettan kommer ifrån vektorn Y, som motsvarar HL i ditt ekvationssystem. :)
Tillägg: 2 jan 2023 12:49
y och Y är inte samma sak i denna lösning. y är ett element, och Y är vektorn i HL.
Tack för inlägg, jag har blandat ihop y och Y.
Det var så lite så! :)
Så i uppgiften så ville dem egentligen har y=x2.
Ja, eller de använder koordinaterna x, y och z i ekvationssystemet, men i definitionen av regeln har de använt x1, x2 och x3.