4
svar
134
visningar
Gamla tentafrågan_normering

Tentanlösning:

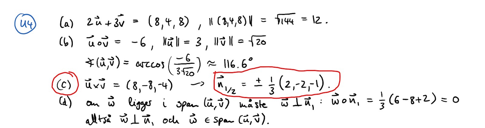
Varifrån fick de vektor
ifrån?
Den vektor som har längd ett och är vinkelräta mot u och v borde blir: 1/sqrt(12)*(8,-8,-4).
Där (8,-8,-4) är vektorprodukt av u och v.
Vilken längd har vektorn
(8,-8,-4)
?
Tillägg: 11 jan 2023 17:24
Som även kan skrivas t.ex
4*(2,-2,-1)
Svaret skulle ju vara vektorer av längden 1 så det är bara att normera.
Dr. G skrev:Vilken längd har vektorn
(8,-8,-4)
?
Tillägg: 11 jan 2023 17:24
Som även kan skrivas t.ex
4*(2,-2,-1)
Vektorn har längd 12
Så då ska du dela vektorn med (±)12 för att normera den.