Gamla tentafrågan_vektorer (bas)


Varför säger de i facit att det finns bara ett sätt skriva vektor v som linjär kombination av u1,u2,u3?
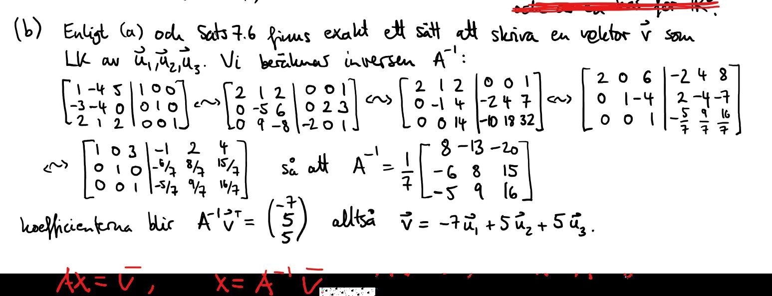
Vad fick du för svar på a)?
Först betraktat u1,u2 och u3 som ortsvektorer där deras startspunkt är origo.
Jag har använt determinant begreppet för att lösa a), om determinanten av matris som består av dessa tre vektorer är noll då är dem icke inverterbar och kan inte spänner upp ett rum.
Nej, determinanten är inte noll. Determinanten av är -7
Det betyder att matrisen är inverterbar samt att den linjära avbildningen är 1-1 och på, dvs bijektiv (isomorfi).
Därför finns det exakt ett unikt sätt att avbilda varje vektor.
Vi har inte gickt igenom begreppet linjära avbildning och bijektiv i kursen. Kan du förklarar detta på ett annat sätt.
Ja, determinanten är inte noll. I tentalösning står det så här:
Att de utgör en bas innebär att varje vektor i R3 kan skrivas som en unik linjärkombination av vektorerna i basen. Så påståendet i b) är en direkt följd av att vektorerna i a) är en bas.
Så, i princip, det räcker att bara säga eftersom dessa tre vektorer utgör en bas för R^3 då kan varje godtyckligt vektorer av dimensionen 3 skrivas som en linjärkombination av u1,u2 och u3.
Har ja förstått det korrekt?
En bas för tex R3 är, per definition, en uppsättning vektorer som spänner upp R3 och är linjärt oberoende.
Att basen spänner upp R3 innebär att varje vektor i R3 kan skrivas som en linjärkombination av vektorerna i basen. Att basen är linjärt oberoende medför att linjärkombinationen är unik.
Så här har ja sammanfattat lösning:
Eftersom u1,u2,u3 utgör en bas för R^3 då är alla tre vektorerna linjär oberoende mot varandra. Så u1,u2,u3 kan skrivas som en unik linjärkombination av godtyckligt vektorer i R^3.

där x är entydligt lösning av Ax=v.
Hålla?