Gamla zombier från matte boken 1
Hej!
Jag har samlat gamla zombier, alltså övningar som jag aldrig kunde lösa eller tvekan/förrvirringar som borde hade lösts för länge sedan! Några zombier är farligare än andra, typ sista level bossen, och andra knappt kryper, men gör ändå stora skador (typ på prov)...
Zombie 1: farligt zombie som jag vet inte hur jag ska döda

Där vet man att x måste vara en funktion av y (eller y måste var en funktion av x)? Eller z måste vara en funktion av w? Några saker måste sätts lika med andra saker, och andra saker måste deriveras... det vet jag, tror jag. Men jag har noll strategi mot den här zombi.
Vad har hänt med den där sträckan 16?
vad kan du säga om vinklar i figuren?
Lite off topic - men vilket enormt paper! Det skulle varit mer rimligt med enheten cm.
smaragdalena skrev :Lite off topic - men vilket enormt paper! Det skulle varit mer rimligt med enheten cm.
Formen och den rivna kanten talar för att det är någon jättes toalettpapper. :)
LOL
Nu blir det lite roliga att räkna :)
Trots att det brukar sägas att man måste sova på saker blev jag inte klockar än en gång:

Jag trodde att vinklarna alpha var lika och 60 grader (eftersom vi har trianglar är liksidiga, dom delar ju en sida och en vinkel?) men efter kom jag på att jätten viker ju hennes pappret, så vinklar fluktuerar...
Sidan p borde vara 256-32x... Kommer inget vidare.

I denna bild så har vi att
,
, och
Om jag inte missade någon ekvation nu, så kan man från detta lösa ut i termer av . Efter man har som en funktion av så kan man derivera denna och leta efter minimum.
Hej!
Börja med att notera att talet måste ligga mellan och .
Den mörkgrå triangelns vinklar är och och grader, där sinusvärdet
Den ljusgrå triangelns vinklar är och och grader, där cosinusvärdet
(Fortsättning följer...)
Albiki
Hej igen!
Istället för cosinusvärdet ska det vara cosinusvärdet som är lika med För att det ska kunna bildas trianglar måste talet ligga mellan och , vilket ger cosinusvärden mellan och (som det ska vara).
Det gäller också att grader, vilket betyder att
Error converting from LaTeX to MathML
Den mörkgrå triangeln visar att vilket betyder att och detta ger följande samband mellan talen och
.
Albiki
Hej!
Funktionen bestäms alltså av sambandet
Error converting from LaTeX to MathML
Implicit derivering med avseende på ger sambandet
Eftersom då så är det uttrycket som bestämmer när funktionen är växande och avtagande. Om man förenklar så ser man att funktionen är avtagande när och växande när ; funktionens minsta värde är därför .
Resultat: Den vikta kanten blir så kort som möjligt om man viker så att . (Det är inte nödvändigt att beräkna hur lång den vikta kanten blir.)
Albiki
Snyggt Albiki! Noterade att frågan ställts också i gamla forumet. Lite intressant att jämföra lösningen ovan med den där:
https://gamla.pluggakuten.se/forumserver/viewtopic.php?id=33117
Stokastisk skrev :
I denna bild så har vi att
,
, och
Om jag inte missade någon ekvation nu, så kan man från detta lösa ut i termer av . Efter man har som en funktion av så kan man derivera denna och leta efter minimum.
Jag har försökt att följa båda metoder:
Jag kan inte skriva y som en funktion av x, känns det är så många variabler :(
.jpg?width=800&upscale=false)
Albiki skrev :Hej igen!
Istället för cosinusvärdet ska det vara cosinusvärdet som är lika med För att det ska kunna bildas trianglar måste talet ligga mellan och , vilket ger cosinusvärden mellan och (som det ska vara).
Den mörkgrå triangeln visar att vilket betyder att och detta ger följande samband mellan talen och
Albiki
Hej! Jag har försökt med vinklarna men jag är redan löst på andra inlag :(
.jpg?width=800&upscale=false)
Förresten, massor av vad du skriver försvinner i dina inlag!
För de som läst någon inledande kurs i tillämpad linjär algebra kan följande lösningsgång vara rolig:
Vikning innebär i det här fallet att vi speglar origo i linjen y så att origo hamnar i punkten O'=(z,16) (z samma som i den fina stokastiska grafen).
Linjen y har den normaliserade riktningsvektorn
Där vi av bekvämlighet infört c så att , jmfr (z+w) i stokastiska grafen. Låt slutligen vara nedre högra hörnet av vår triangel.
Spegling av origo ger
Med återinförande av ger identifikation i y-led (O'=(z,16))
Deriverar vi map på x ser vi att y² och därmed y maximeras av x=12.
Daja skrev :Stokastisk skrev :
I denna bild så har vi att
y2=x2+(z+w)2y^2 = x^2 + (z + w)^2,
(z+w)2=162+w2(z + w)^2 = 16^2 + w^2, och
x2=z2+(16-x)2x^2 = z^2 + (16 - x)^2
Om jag inte missade någon ekvation nu, så kan man från detta lösa ut y y i termer av x x . Efter man har y2 y^2 som en funktion av x x så kan man derivera denna och leta efter minimum.
Jag har försökt att följa båda metoder:
Jag kan inte skriva y som en funktion av x, känns det är så många variabler :(
Du har slarvat lite när du kvadrerat. Från ekvation (c) så får man att
Från ekvation (b) så får man att
Sätter man in resultatet från ekvation (c) här så får man
Så därför är
Så därför får man att
Edit: Suck, all formatering blir uppenbarligen helt fel i detta inlägg, jag kanske samlar kraft till att skriva det "korrekt" senare.
Tack :), om du orkar.
Jag är på bröllop och blev tillsagt att sluta med mobilen så det kan vänta :p
Från ekvation (c) så får man att
Från ekvation (b) så får man att
Använder man resultatet från (c) och sätter in här så får man att
Så därför är
Nu får man då från ekvation (a) att
Nu kan man också lägga märke till att minimera är det samma som att minimera , därför kan vi lika gärna derivera detta uttryck för att finna minimum. Så gör vi det så får man
Så här ser man att vi får ett minimum vid x = 12 (titta på tecknet på derivatan bredvid x = 12 för att se att det är ett minimum). Vi kan också beräkna att vid detta minimum så är
Ytterligare lösningsförslag:
Riktningskoefficienten för y ges av
Riktningskoefficienten för den normal till y som går från (0,0) till punkten (z,16)
Villkor för vinkelräta linjer:
Om z vet vi dessutom att
alltså
Och vi får inte helt oväntat samma resultat igen. Som vanligt minimeras y² och därmed y av x=12.
Stokastisk skrev :Från ekvation (c) så får man att
Från ekvation (b) så får man att
Använder man resultatet från (c) och sätter in här så får man att
Så därför är
Nu får man då från ekvation (a) att
Nu kan man också lägga märke till att minimera är det samma som att minimera , därför kan vi lika gärna derivera detta uttryck för att finna minimum. Så gör vi det så får man
Så här ser man att vi får ett minimum vid x = 12 (titta på tecknet på derivatan bredvid x = 12 för att se att det är ett minimum). Vi kan också beräkna att vid detta minimum så är
Tack för att du orkade.
Jag har gjort om beräkning på pappret men känns jättesvårt ändå, jag tror inte att jag skulle vara kapabel att identifiera värderna vi behöver för att lösa uppgiften :(
Guggle skrev :Ytterligare lösningsförslag:
Riktningskoefficienten för y ges av
Riktningskoefficienten för den normal till y som går från (0,0) till punkten (z,16)
Villkor för vinkelräta linjer:
Om z vet vi dessutom att
alltså
Och vi får inte helt oväntat samma resultat igen. Som vanligt minimeras y² och därmed y av x=12.
Asså super spännande men så klart körde jag fast.

a) varifrån kommer -c?
b) Om hittar jag ,
c) varifrån kommer ? Och hur hittar du vidare
d) om jag utvecklar hittar jag och kan inte simplifiera till
Jag kommer mirakulöst till samma resultat men det känns att jag har missat/slarvat?

Daja skrev :
a) varifrån kommer -c?
Linjen y går mellan punkterna (c,0) och (0,x). Riktningskoefficienten blir då
Det spelar ingen roll vilken av punkterna du kallar (x1,y1) och vilken du kallar (x2,y2), du får samma resultat för .
b) .Om hittar jag ,
Daja har helt rätt!
c) varifrån kommer ? Och hur hittar du vidare
Om två linjer är vinkelräta mot varandra ska deras produkten av deras riktningskoefficienter vara -1. Dvs:
Om vi nu kvadrerar båda led får vi
Och om vi sätter in och får vi uttrycket. Om du vill kan du förenkla med det du hittade ovan!
d) om jag utvecklar hittar jag och kan inte simplifiera till
Jag kommer mirakulöst till samma resultat men det känns att jag har missat/slarva
Ingen fara, uttrycken är samma, Daja har räknat helt rätt!
(Addera (8x^2-x^3) på båda sidor så ser du att det är samma.
Orsaken till mitt mellansteg är att jag använde det du hittade ovan och ville dela med 32
och ger
Nu är både 256 och 32 delbara med 32
$$
Sorry för sent återkoppling, var på påtvingad familj semester.
Så egentligen har du byggt en drake :). Det krävdes en hel del matematisk craftship :))
Jag skulle aldrig har tänkt på så många samband. (till och med c skulle jag har skrivit istället för -c, eftersom jag ser den på den positiva x-axeln)
En sak till, varför skulle vi addera 8x^2-x^3? Jag har försökt (linje i gullt)
Vad menar du med det?

Daja skrev :Sorry för sent återkoppling, var på påtvingad familj semester.
Välkommen tillbaka Daja, vi saknade dig!
Så egentligen har du byggt en drake :). Det krävdes en hel del matematisk craftship :))
Jag skulle aldrig har tänkt på så många samband. (till och med c skulle jag har skrivit istället för -c, eftersom jag ser den på den positiva x-axeln)
Drakar är bra zombiedödare! Det kan verka lite krångligt med negativt k-värde. Men en linje som lutar uppåt ska ha en positiv riktningskoefficient, en linje som lutar nedåt ska ha en negativ riktningskoefficient, jmfr denna bild:

Vår linje y ska uppenbarligen luta neråt och måste därför ha ett negativt k!
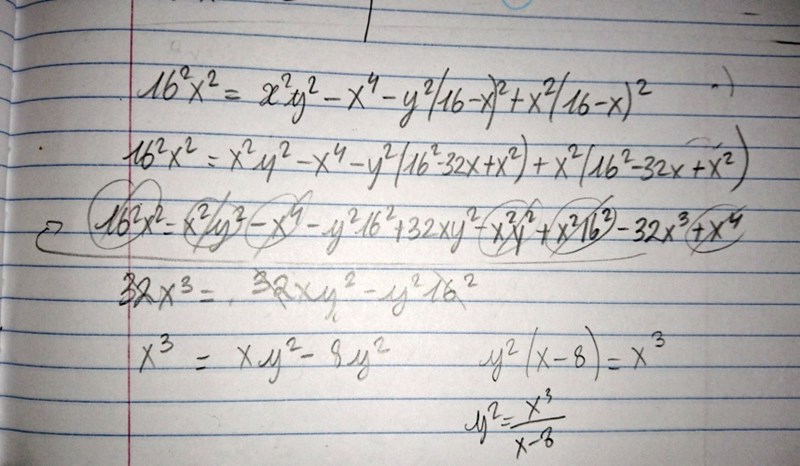
En sak till, varför skulle vi addera 8x^2-x^3? Jag har försökt (linje i gullt)
Vad menar du med det?
Tidigare räknade du och fick:

Om du lägger till 8x²-x³ på båda sidor får du
Jag ville bara visa att vi fått samma sak och att du räknat rätt. Istället för att multiplicera ihop parenteserna direkt som d gjorde, kan man spara lite räkningar såhär:
Vi delar med 32 och multiplicerar ihop parentesen:
Vilket är det mellansteg du undrade över. Stryk 8x² på båda sidor och möblera om:
Ojojojoj tack för alla förklaringar :)
Jag är väldigt imponerad att du har sett direkt den 32(x-8) som var gömt i !
Det tog mig ett tag att se den
Och visste du också från början att var delbart med 32? För alla är väl inte delbara med 2x?