Gammastrålningens våglängd
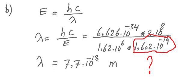
Hej! Jag har fastnat på en fråga på en gammal tentamen. På första bilden ser ni min lösning och hur långt jag kommer, men sen finns ett värde i facit som jag inte vet vart det kommer ifrån riktigt. Jag har markerat det värdet med rött på bild 2 som är facit.


x står alltså för multiplikation i min lösning!
sen undrar jag hur man vet direkt att svaret blir i meter
Det du har ringat in med rött är laddningen för en elektron. Den faktorn behövs för att räkna om energienheten eV till energienheten J.
sen undrar jag hur man vet direkt att svaret blir i meter
Om du tar till vana att alltid sätta in alla storheter med både siffra och enhet, så behöver du aldrig fundera på detta mera.
Vilken enhet ha E? Vilken enhet har h? Vilken enhet har c? Vilken enhet har ?
Hej! Tack för ditt svar, jag har förståt frågan angående meter.
Dock undrar jag fortfarande över det inringade värdet. Behöver jag alltså alltid multiplicera eV till J i sådana beräkningar?