Går det räkna ut det här?
vill veta är inte 30 nu y värdet så det går inte räkna ut detta?
Päivi skrev :
vill veta är inte 30 nu y värdet så det går inte räkna ut detta?
Ja 39 är y-värdet och jodå det går utmärkt att räkna ut..
Gör precis som du brukar: Ställ upp en differenskvot med f(x), f(x+h) och h, förenkla och låt sedan h gå mot 0..
Du vet redan att f(x) = 30.
Ställ nu upp ett uttryck för f(x+h) så är du nästan klar.
Om du tycker att det känns konstigt tycker jag att du ska börja med att rita grafen till funktionen y = f(x). Då kommer du att förstå hur det hänger ihop.
30 ska väl multipliceras med uttrycket. X ska ha 4, är det inte så ,Yngve?
Päivi skrev :30 ska väl multipliceras med uttrycket. X ska ha 4, är det inte så ,Yngve?
Nej så är det inte.
Du har att f(x) = 30.
Rita grafen till den funktionen är du snäll.
Nej, y= 30 vilket värde på x du än stoppar in - det är alltså en horisontell linje. Du skulle kunna skriva den räta linjens ekvation som y = 0x + 30.
Päivi skrev :
Nej du har satt upp differenskvoten fel. Följ mitt tidigare tips och skriv upp uttrycken för f(x) och f(x+h) innan du sätter in dem i differenskvoten.
f(x) = 30 har du redan.
Vad är f(x+h)?
Smaragdalena skrev :Nej, y= 30 vilket värde på x du än stoppar in - det är alltså en horisontell linje. Du skulle kunna skriva den räta linjens ekvation som y = 0x + 30.
Jag såg inte Dig Magdalena. Mera än så kan man inte skriva.
Päivi skrev :
Nej vad gör (4+h) och (4) i täljaren?
Och varför gör du inte det jag ber dig om?
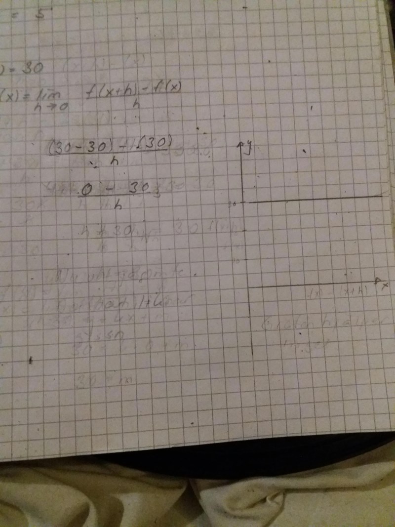
Funktionsuttrycket är f(x) = 30
Det betyder att f(x+h) = 30
Det är dessa två uttryck du ska sätta i differenskvotens täljare, precis som du brukar.
Den enda skillnaden är att dessa två uttryck inte beror av x.
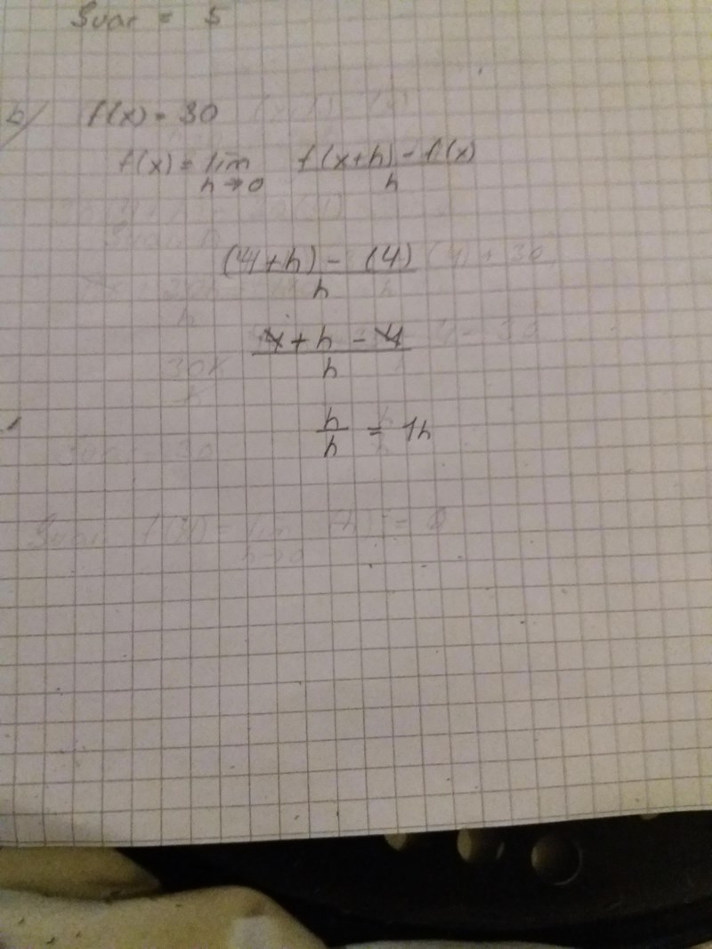
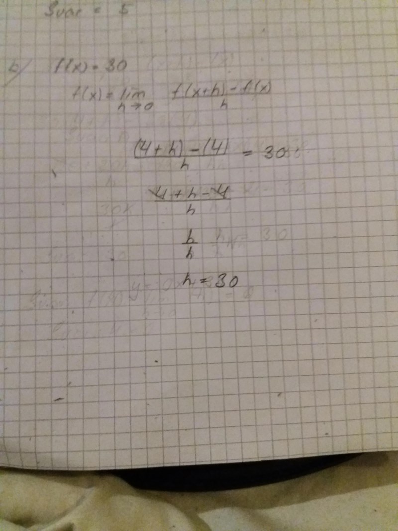
Det står bestäm f'(4) om
f(x)= 30
Päivi skrev :Det står bestäm f'(4) om
f(x)= 30
Ja, det gör det. Det betyder att f(4) = 30, och att f(4+h) = 30. Sätt in de värdena!
Päivi skrev :
Du skriver (4+h) i täljaren där uttrycket för f(4+h) ska stå. f(4+h) = 30. Skriv därför 30 på den platsen i täljaren.
Du skriver (4) i täljaren där uttrycket för f(4) ska stå. f(4) = 30. Skriv därför 30 på den platsen i täljaren.
Redan i första inlägget bad Yngve dig att rita grafen. Tolv inlägg senare har du fortfarande inte gjort det.
Nu ser det bättre ut men det är fortfarande inte rätt.
Kan du berätta varför du skriver (30+h) - 30 i täljaren? Varifrån kommer 30+h?
Och du vägrar fortfarande att lyda mitt råd. Varför?
Här är rådet igen:
- Skriv ett uttryck för f(4)
- Skriv ett uttryck för f(4+h)
- Sätt in dessa uttryck i differenskvotens täljare.
Man kan inte prata två eller tre olika sätt, Yngve!
Jag förstår inte Dig nu. Om jag sätter där x är en 4, så är det fel. Helt plötsligt ska jag plocka bort den. Sätter jag 30 = med uttrycket. Så är det fel. Jag förstår inte det här.
Jag började med en generell differenskvot (f(x+h) - f(x))/h men eftersom Smaragdalena valde att beskriva delarna just vid x = 4, dvs att använda f(4+h) och f(4) istället så bytte jag också till det. Det kanske var dumt, men nu kör vi vidare på den modellen. Svara nu på följande frågor:
- Är du med på att differenskvoten kan skrivas (f(4+h) - f(4))/h?
- Är du med på att f(4) = 30?
- Är du med på att f(4+h) = 30?
---------
(Grafen borde ge dig en insikt om vad f(4+h) och f(4) har för värde. Dessutom ger den dig möjlighet att kontrollera ditt svar.)
Svar
1) ja, det är jag
2) ja, det är jag
3) ja , det är jag.
Yngve!
Päivi skrev :Svar
1) ja, det är jag
Bra
2) ja, det är jag
Bra. Är du då med på att andra termen i differenskvotens täljare ska vara f(4), dvs 30?
3) ja , det är jag.
Bra. Är du då med på att första termen i differenskvotens täljare ska vara f(4+h), dvs 30?
Yngve!
Grafen är korrekt ritad.
Om du inte räknar alls, utan bara tittar på grafen, vad säger du om lutningen då?
Yngve skrev :Päivi skrev :Svar
1) ja, det är jag
Bra
2) ja, det är jag
Bra. Är du då med på att andra termen i differenskvotens täljare ska vara f(4), dvs 30?
3) ja , det är jag.
Bra. Är du då med på att första termen i differenskvotens täljare ska vara f(4+h), dvs 30?
Yngve!
Nu förstår jag inte
Bubo skrev :Grafen är korrekt ritad.
Om du inte räknar alls, utan bara tittar på grafen, vad säger du om lutningen då?
Finns ingen lutning, Bubo!
Det går alltså inte rplns det här m= 30
Päivi skrev :Yngve skrev :Päivi skrev :Svar
1) ja, det är jag
Bra
2) ja, det är jag
Bra. Är du då med på att andra termen i differenskvotens täljare ska vara f(4), dvs 30?
3) ja , det är jag.
Bra. Är du då med på att första termen i differenskvotens täljare ska vara f(4+h), dvs 30?
Yngve!
Nu förstår jag inte
OK. Så här då.
Differenskvoten är (f(4+h) - f(4))/h.
f(4+h) = 30.
f(4) = 30.
Alltså är differenskvoten (30 - 30)/h.
Är du med på det?
Det enda jag har gjort är alltså att ersätta f(4+h) med 30 och f(4) med 30 i differenskvotens täljare.
Jag tror det, Yngve!
Nej. f(x+h) = 30, inte 30-30. Varifrån får du det? Så står det inte i uppgiften.
Päivi skrev :
Det stämmer inte Päivi. Jämför min och din differenskvot. De är inte lika.
Javisst.
Enkel fråga: Vad är trettio minus trettio?
Ja, jag ska skriva med två språk
• noll
• nolla (på finska)
Rätt. Bra, good, gut, hyvää.
Så - själva uppgiften nu: Vad är alltså lutningen?
Lutningen är noll, men är konstant på 30 alltså m= 30
Du är duktig på finska också!
Det heter " hyvä" = bra
Hyvää betyder att något är gott. Maten smakar bra. Inte i det här sammanhanget. Hyvää och hyvä har lite olika betydelser fast de betyder samma men används olika sammanhang.
Jag tror att problemet i b) är att inget x finns med i funktionen. Du kan även skriva f(x) som
f(x) =0*x + 30
Hjälper det?
Dr. G skrev :Jag tror att problemet i b) är att inget x finns med i funktionen. Du kan även skriva f(x) som
f(x) =0*x + 30
Hjälper det?
Det hjälper mer ja
Päivi skrev :Dr. G skrev :Jag tror att problemet i b) är att inget x finns med i funktionen. Du kan även skriva f(x) som
f(x) =0*x + 30
Hjälper det?
Det hjälper mer ja
Det skrev jag för över två timmar sedan. Hjälpte det inte då?
Nej, y= 30 vilket värde på x du än stoppar in - det är alltså en horisontell linje. Du skulle kunna skriva den räta linjens ekvation som y = 0x + 30.
Smaragdalena skrev :Nej, y= 30 vilket värde på x du än stoppar in - det är alltså en horisontell linje. Du skulle kunna skriva den räta linjens ekvation som y = 0x + 30.
Det här såg inte jag. Det kom snabbt svaren till mig. Tack även till Dig Magdalena för det här.
Jag tackar er alla som har varit med på tråden nu.
Päivi skrev :Smaragdalena skrev :Nej, y= 30 vilket värde på x du än stoppar in - det är alltså en horisontell linje. Du skulle kunna skriva den räta linjens ekvation som y = 0x + 30.
Det här såg inte jag. Det kom snabbt svaren till mig. Tack även till Dig Magdalena för det här.
Jag tackar er alla som har varit med på tråden nu.
Konstigt att du inte såg det - du svarade ju:
Päivi skrev :
Smaragdalena skrev :
Nej, y= 30 vilket värde på x du än stoppar in - det är alltså en horisontell linje. Du skulle kunna skriva den räta linjens ekvation som y = 0x + 30.
Jag såg inte Dig Magdalena. Mera än så kan man inte skriva.
Jag svarar, men upptäckte inte det här. Det här sättet förstår jag mig.
Päivi, du skrev att grafen inte hjälper något.
Men ser du nu i efterskott att grafen
- kunde ge dig en insikt om vad f(4+h) och f(4) har för värden?
- kunde ge dig möjlighet att kontrollera att svaret f'(4) = 0 verkligen stämmer?
Jag har inte ritat någon graf om detta, Yngve.
Yngve skrev :Päivi, du skrev att grafen inte hjälper något.
Men ser du nu i efterskott att grafen
- kunde ge dig en insikt om vad f(4+h) och f(4) har för värden?
- kunde ge dig möjlighet att kontrollera att svaret f'(4) = 0 verkligen stämmer?
Det är inte den här tråden du Yngve ska titta.
Päivi skrev :
Graf.
Päivi skrev :Jag har inte ritat någon graf om detta, Yngve.
Jo det har du.
För 10 timmar sedan postade du detta:

Nu tittar du fel tråd, Yngve.
Yngve har rätt. Det är ur den här tråden.
Päivi skrev :

Jag har inte bett Yngve titta på den här tråden nu. Det är fel tråd. Det är den andra.
Päivi skrev :Jag har inte bett Yngve titta på den här tråden nu. Det är fel tråd. Det är den andra.
Jag tittar på båda trådarna.
Jag vill ha svar på den andra, Yngve
Du har inte svarat på mina frågor:
Ser du nu i efterskott att grafen
- kunde ge dig en insikt om vad f(4+h) och f(4) har för värden?
- kunde ge dig möjlighet att kontrollera att svaret f'(4) = 0 verkligen stämmer?
Päivi, när du säger att du inte har ritat en graf och TRE personer säger att du har gjort det, kan du välja att
- tro på dem
- kontrollera saken själv
- ta för givet att de har fel
Jag menade en annan tråd och inte den här. Jag ville att Yngve skulle gå titta dit. Nu har han gjort det.
Tusen tack till Er alla
Yngve skrev :Du har inte svarat på mina frågor:
Ser du nu i efterskott att grafen
- kunde ge dig en insikt om vad f(4+h) och f(4) har för värden?
kunde ge dig möjlighet att kontrollera att svaret f'(4) = 0 verkligen stämmer?
Jag har ingen aning om, hur man kontrollerar sådant, Yngve.
Yngve skrev :Päivi skrev :
Nej du har satt upp differenskvoten fel. Följ mitt tidigare tips och skriv upp uttrycken för f(x) och f(x+h) innan du sätter in dem i differenskvoten.
f(x) = 30 har du redan.
Vad är f(x+h)?
Vilken fråga gäller det Yngve?
Yngve skrev :Jag började med en generell differenskvot (f(x+h) - f(x))/h men eftersom Smaragdalena valde att beskriva delarna just vid x = 4, dvs att använda f(4+h) och f(4) istället så bytte jag också till det. Det kanske var dumt, men nu kör vi vidare på den modellen. Svara nu på följande frågor:
- Är du med på att differenskvoten kan skrivas (f(4+h) - f(4))/h?
- Är du med på att f(4) = 30?
- Är du med på att f(4+h) = 30?
---------
(Grafen borde ge dig en insikt om vad f(4+h) och f(4) har för värde. Dessutom ger den dig möjlighet att kontrollera ditt svar.)
Vilken fråga gällde Det, Yngve?
Yngve skrev :Du har inte svarat på mina frågor:
Ser du nu i efterskott att grafen
- kunde ge dig en insikt om vad f(4+h) och f(4) har för värden?
- kunde ge dig möjlighet att kontrollera att svaret f'(4) = 0 verkligen stämmer?
Jag klarar inte av svara på det här, Yngve
Jag har sovit ett antal timmar nyligen.
Päivi skrev :Yngve skrev :Du har inte svarat på mina frågor:
Ser du nu i efterskott att grafen kunde ge dig möjlighet att kontrollera att svaret f'(4) = 0 verkligen stämmer?
Jag har ingen aning om, hur man kontrollerar sådant, Yngve.
Det kan du kontrollera på följande sätt:
Att innebär ju att tangentens lutning vid är 0, dvs att tangenten är horisontell. Som du ser på grafen så är tangenten vid horisontell. Alltså stämmer det att
Nu när jag har vaknat upp, nu passade jag på ta detta.
Jag förstår inte vad du menar med din fråga i denna kommentar Päivi.
Jag förstår inte heller vad du menar med din fråga i denna kommentar.
Jag tog fram dina frågor som jag inte hade besvarat på. Ville se, vilka det gällde.
Päivi skrev :Jag tog fram dina frågor som jag inte hade besvarat på. Ville se, vilka det gällde.
Nej vi släpper det Päivi. Det blir bara rörigt att försöka förklara.








