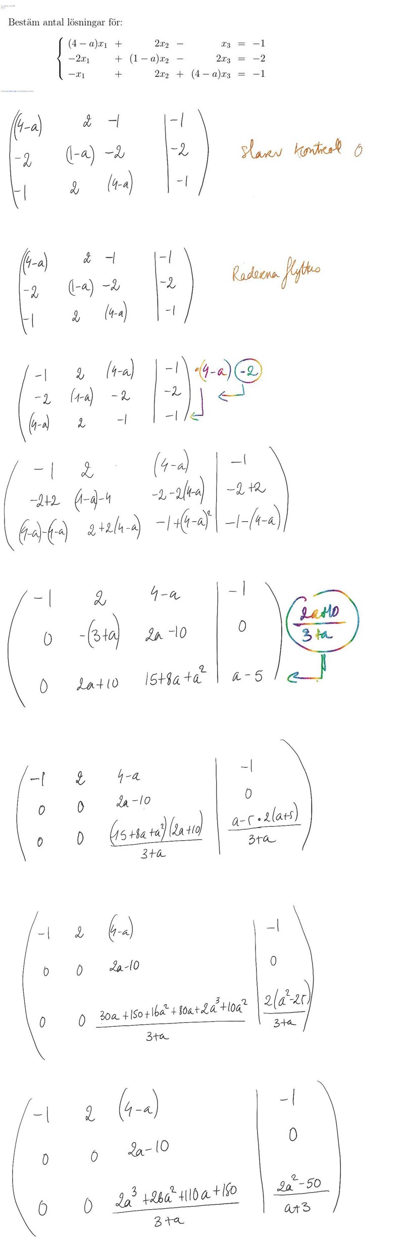
Gauss Jordan eliminering *slarvpolis plize*
Kan någon titta vad som blev tokigt?
Jag får en tredje grad ekvation istället för andra gradare på rad 3!

Fundera t.ex. på följande:
-2+2=0
-2*(+2)=-4
a(x1+x2+x3)=a*b
(a*x1)+(a*x2)+(a*x3)=a*b
Jag såg bara en -2*+2, finns det en till? Den här blev -4 i raden under...
![]()
a(x1+x2+x3)=a*b
(a*x1)+(a*x2)+(a*x3)=a*b
Detta ska jag fundera på, för just nu ser jag inte vad du tyder på...
Vad som händer med beräkningarna i din fjärde matris, är i alla fall obegripligt för mig.
Jag multiplicerar rad ett med och adderar den till rad två, och rad ett igen med och adderar den till rad tre, för att få nollor i första position i rad två och tre.
Följande matrisen gör jag bara beräkningarna (jag skrev ut alla step för att spåra slarvfel.
I matris sex multiplicerar jag rad två med och adderar den till rad tre, för att få en noll i position ett. Och nu ser jag åtminstone två enorma fel! Tack Affe!