Gauss sats
Hej!
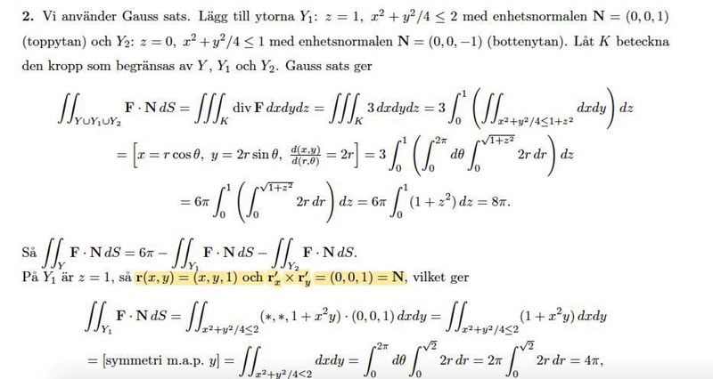
Jag har stött på ibland att de använder enl denna uppg:


de gulmarkerade.
Men i denna uppg, så använder de inte kryssprodukten utan kör bara:


Vad är det för skillnad när de inte räknar ut kryssprodukten sådär?
I båda fallen är ytan del av ett plan med normalriktning längs z-axeln.
Man kan då direkt ta normalen som ±(0,0,1), utan att parametrisera och kryssa derivatorna.
Tecknet på ± väljs så att normalen pekar utåt.
Dr. G skrev:I båda fallen är ytan del av ett plan med normalriktning längs z-axeln.
Man kan då direkt ta normalen som ±(0,0,1), utan att parametrisera och kryssa derivatorna.
Tecknet på ± väljs så att normalen pekar utåt.
"orienterad bort"- är det minustecken då?
"orienterad bort"- är det minustecken då?
Minustecken betyder att normalen är riktad neråt. Så det beror på om det är ovansidan eller undersidan du pratar med.
Smaragdalena skrev:"orienterad bort"- är det minustecken då?
Minustecken betyder att normalen är riktad neråt. Så det beror på om det är ovansidan eller undersidan du pratar med.
vette tusan vad jag menar, för jag förstår knappt ens vad det är. Majoriteten av alla jag sett är N=(0,0,-1) (Är det moturs då?)

https://gamla.pluggakuten.se/forumserver/viewtopic.php?id=80036
Som vanligt: Rita!
Smaragdalena skrev:Som vanligt: Rita!
men jag säger att jag inte förstår, hur ska jag kunna rita något som jag inte förstår? alltså jag ser ju vad texten säger.
- Men frågan var OM jag går så som han skriver - det jag markerar med rosa i skärmdumpen - är det N=(0,0,-1)?
- eller om man har en halvsfär med - i då Gauss sats tex - då lägger vi ju till ett 'botten' i varje uppg jag sett på alla mina gamla tentor så har man alltid N=(0,0,-1) det är inget jag har tänkt på förens nu. Varför är N=(0,0,-1) i det här fallet? och inte positiv? Är det för att i uppg står det, utåtriktad normal? eh nej. nu såg jag att i bägge fallen så var de oriternade bort från z-axeln, så det kan inte heller va fallet.
Ha bilden av ett halvklot i huvudet, just nu pratar vi om bottenytan. Bottenytan är ett plan, så dess normal kan vara (0,0,1) eller -(0,0,1), men vi ska välja -(0,0,1) för att normalen ska peka ut från kroppen K.
I inlägget du länkar till är en uppgift där personen ska använda stokes sats för att beräkna en linjeintegral. Linjen har en orientering, och givet den så kan vi föreställa oss dess promenad för att bestämma den inneslutna ytans (en sne cirkel) normal. I vårt fall handlar det om Gauss sats och vi bryr oss inte om randens orientering, det enda vi vill är att normalen pekar ut från kroppen.
https://mathinsight.org/stokes_theorem_orientation
Inga konstigheter?
En ytnormal är en pil (vektor) som är vinkelrät mot en yta. Eftersom ytor i regel har två sidor finns det alltid två möjliga normaler.
Låt oss lägga till ett grönt lock på toppen till en blå begränsningsyta.
Om vi vill hitta normalen till det gröna locket finns det alltså två möjligheter, antingen pekar normal UT från röret, så här
Eller också pekar normalen (fortfarande vinkelrät mot den gröna ytan) in mot röret. För att vi ska kunna se det tydligt vrider vi lite på röret också:
I det första fallet pekar den röda pilen (vektorn) utmed z-axeln och skulle få värdet , i det andra fallet pekar den röda pilen motsatt z-axeln och skulle få värdet .
För att använda Gauss sats vill vi att både locket och botten ska ha pilar som pekar BORT från (eller ut från) begränsningsytan (och nu tar vi också med normaler till den BLÅ ytan:
Därför kommer en utåtriktad normal från locket vara (utmed z-axeln, uppåt), bottenplattans normal är riktad (ut från botten, nedåt) och mantelytans normal är riktad ut från z-axeln i radiell led (den är alltså lättare att uttrycka i cylinderkoordinater)
Qetsiyah skrev:Ha bilden av ett halvklot i huvudet, just nu pratar vi om bottenytan. Bottenytan är ett plan, så dess normal kan vara (0,0,1) eller -(0,0,1), men vi ska välja -(0,0,1) för att normalen ska peka ut från kroppen K.
I inlägget du länkar till är en uppgift där personen ska använda stokes sats för att beräkna en linjeintegral. Linjen har en orientering, och givet den så kan vi föreställa oss dess promenad för att bestämma den inneslutna ytans (en sne cirkel) normal. I vårt fall handlar det om Gauss sats och vi bryr oss inte om randens orientering, det enda vi vill är att normalen pekar ut från kroppen.
https://mathinsight.org/stokes_theorem_orientation
Inga konstigheter?
nvm
Jroth skrev:En ytnormal är en pil (vektor) som är vinkelrät mot en yta. Eftersom ytor i regel har två sidor finns det alltid två möjliga normaler.
Låt oss lägga till ett grönt lock på toppen till en blå begränsningsyta.
Om vi vill hitta normalen till det gröna locket finns det alltså två möjligheter, antingen pekar normal UT från röret, så här
Eller också pekar normalen (fortfarande vinkelrät mot den gröna ytan) in mot röret. För att vi ska kunna se det tydligt vrider vi lite på röret också:
I det första fallet pekar den röda pilen (vektorn) utmed z-axeln och skulle få värdet , i det andra fallet pekar den röda pilen motsatt z-axeln och skulle få värdet .
För att använda Gauss sats vill vi att både locket och botten ska ha pilar som pekar BORT från (eller ut från) begränsningsytan (och nu tar vi också med normaler till den BLÅ ytan:
Därför kommer en utåtriktad normal från locket vara (utmed z-axeln, uppåt), bottenplattans normal är riktad (ut från botten, nedåt) och mantelytans normal är riktad ut från z-axeln i radiell led (den är alltså lättare att uttrycka i cylinderkoordinater)
Men gud vilken bra förklaring!! det var helt fantastisk!!
tack så jätte-jättemyckt!
Jroth skrev:En ytnormal är en pil (vektor) som är vinkelrät mot en yta. Eftersom ytor i regel har två sidor finns det alltid två möjliga normaler.
Låt oss lägga till ett grönt lock på toppen till en blå begränsningsyta.
Om vi vill hitta normalen till det gröna locket finns det alltså två möjligheter, antingen pekar normal UT från röret, så här
Eller också pekar normalen (fortfarande vinkelrät mot den gröna ytan) in mot röret. För att vi ska kunna se det tydligt vrider vi lite på röret också:
I det första fallet pekar den röda pilen (vektorn) utmed z-axeln och skulle få värdet , i det andra fallet pekar den röda pilen motsatt z-axeln och skulle få värdet .
För att använda Gauss sats vill vi att både locket och botten ska ha pilar som pekar BORT från (eller ut från) begränsningsytan (och nu tar vi också med normaler till den BLÅ ytan:
Därför kommer en utåtriktad normal från locket vara (utmed z-axeln, uppåt), bottenplattans normal är riktad (ut från botten, nedåt) och mantelytans normal är riktad ut från z-axeln i radiell led (den är alltså lättare att uttrycka i cylinderkoordinater)
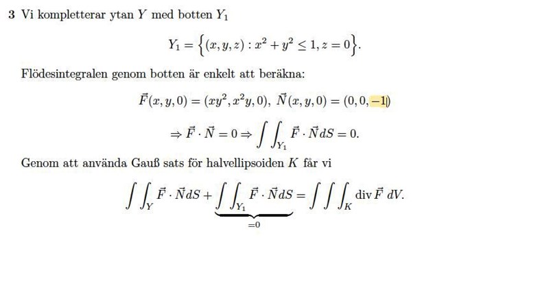
Men grejen är... hur kommer det sig till denna uppg:

den här har ju ett "lock" då ska ju den ha ett positiv etta hos sin normal, men enl facit så har de en negativ etta?

Y är en del av en ellipsoid med normalen riktad uppåt, locket har normalen neråt. Som vanligt: Rita!
Här är elipsoiden:
Smaragdalena skrev:Y är en del av en ellipsoid med normalen riktad uppåt, locket har normalen neråt. Som vanligt: Rita!
Här är elipsoiden:
Kan inte se bilden,
Men jag ritade den såhär iallfall.

och därför undrar jag varför den har normal (enl facit -(0,0,1) och iten (0,0,1)

jag ritade den ju så, därför blir det

Det är locket på undersidan som har normalen riktad neråt. Ellipsoidytan har normalen uppåt.
Smaragdalena skrev:Det är locket på undersidan som har normalen riktad neråt. Ellipsoidytan har normalen uppåt.
- förlåt kanske är trög, "Det är locket på undersidan som har normalen riktad neråt." ~locken på undersida, alltså en bottenyta?
- men jag fattar inte. Har jag ritat figuren fel?
Ja, din figur är upp-och-ner: För ellipsoiden gäller , så z-värdet är minst noll. Notera att ekvationen blir enhetscirkeln om z=0:
Här bildas alltså ett "hål". Sen ju mer z ökar, desto mindre blir xy-cirkelns radie, fram till z=1/2 där cirkeln helt försvinner:
Där finns alltså inte ett hål. Så ellipsoidens slutna "topp" är i z=1/2, och den öppna botten är i z=0. Den platta ytan som läggs till är alltså en botten, under ellipsoiden. Och bottenytans normal ska peka bort från ellipsoiden, så den går nedåt.
Din bild är upp-och-ner jämfört med den kropp som uppgiften beskriver. Det står ju att ytan Y är den del av ellipsoiden {bblablaba} där (med uppåtriktad normal) och att man kompletterar ytan Y med botten Y1. Då får bottenytan en nedåtriktad normal.
(Jag undrar vart ellisoiden försvann!)
Okej!
Tack så mycket @Smaragdalena & @Skaft!
Men en fråga till, om man har en uppg som säger "N pekar mot z-axeln", då andra jag att den inåt? klassas det som upp eller ned? (negativ eller positiv normal, jag skulle gissa på positiv eftrso ett flöde inåt???)
sannakarlsson1337 skrev:Men en fråga till, om man har en uppg som säger "N pekar mot z-axeln", då andra jag att den inåt? klassas det som upp eller ned? (negativ eller positiv normal, jag skulle gissa på positiv eftrso ett flöde inåt???)
sannakarlsson1337, det står i Pluggakutens regler att man bara skall ha en enda fråga i varje tråd. Gör en ny tråd om din nya fråga, så blir det mindre rörigt. Om du fortsätter bryta mot Pluggakutens regler riskerar du att bli avstängd. /moderator
För övrigt är svaret på din fråga som vanligt: Rita! Hur skulle du kunna se åt vilket håll normalen skall vara utan att rita?