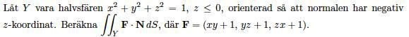
Gauss sats (divergens och en gräns)
Hej,
som jag nämnde i denna tråd https://www.pluggakuten.se/trad/gauss-sats-4/ så var det sista lite om en diskussion med om divergensen. I den tråden så frågade jag om man gjorde såhär:

pga att divergensen i föregående tråd blev div F = 0 !!
Men om man får en div F = A (talet A) så behöver man då inte använda ovan?

fråga 1: så i denna uppg så får jag div F = x+y+z. å därför blir ej negativ?
fråga 2: vad blir Z undre gräns?
( ) för blir det inte bara ? eller ska den, pga det är en undergrävs vara negativ? Isåfall.. varför?
Använd rymdspolära koordinater! Nästan alltid när du har att göra med klot-formade områden är det lättare med rymdspolära koordinater. Du har alltså: med Gauss sats, applicera nu rymdpolära koordinater på detta område och integrera sedan term för term i 3 trippelintegraler (om man vill). Det som kan vara knepigt är att "z vinkeln" går mellan om jag inte misstar mig.
Moffen skrev:Använd rymdspolära koordinater! Nästan alltid när du har att göra med klot-formade områden är det lättare med rymdspolära koordinater. Du har alltså: med Gauss sats, applicera nu rymdpolära koordinater på detta område och integrera sedan term för term i 3 trippelintegraler (om man vill). Det som kan vara knepigt är att "z vinkeln" går mellan om jag inte misstar mig.
tänkte göra
ska bliiii polära sedan....
Okej, så KAN man göra, men det blir inte så snyggt (undre gränsen är om jag inte misstar mig). Jag tänker inte tvinga dig att använda rymdspolära koordinater, men gränserna blir otroligt mycket finare (, återigen, om jag inte misstar mig, har nyss gått kursen så ursäkta fel).
Moffen skrev:Okej, så KAN man göra, men det blir inte så snyggt (undre gränsen är om jag inte misstar mig). Jag tänker inte tvinga dig att använda rymdspolära koordinater, men gränserna blir otroligt mycket finare (, återigen, om jag inte misstar mig, har nyss gått kursen så ursäkta fel).
varför - tecken framför?
Tänk på hur det blir när du ska beräkna en dubbelintegral över ex.vis enhetscirkeln utan polära koordinater. Vilka gränser får du då?
Moffen skrev:Tänk på hur det blir när du ska beräkna en dubbelintegral över ex.vis enhetscirkeln utan polära koordinater. Vilka gränser får du då?
tänkte mer om det hade ngt med att z <= 0 i den här uppgiften? och därför... ?
Ja precis, om du inte har det: rita! Då ser du att det borde vara "-" framför.
Hej!
Trippelintegralen i den inklistrade bilden är felskriven; det ska stå och inte . Om divergensen är konstant () över hela kroppen så blir trippelintegralen lika med