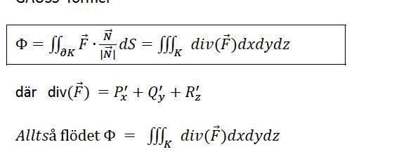
Gauss sats och normalen.
Satsen säger ju

1. Så nu försöker jag förstå mig på Gauss. Alltså om man räknar ut divF, då behöver man inte hålla på med normalen???

2.... men varför gör man det här då?

3.... men inte här?
I 2) är det dubbelintegralen man beräknar, i 3) är det trippelintegralen man beräknar.
Smaragdalena skrev:I 2) är det dubbelintegralen man beräknar, i 3) är det trippelintegralen man beräknar.
Men jag förstår mig inte riktigt på satsen då. För varför säger man

(var tvungen och kolla på satsen och verkligen tänka) okejjjjjj så det är såååå..
Så om det är tre integraler, använd de till höger. (dvs Div) och om det är två integraler, ta hjälp av normalen.
Men bara på själva uppgifterna (vi tar ex 2 och 3 då.) Hur vet man att det blir två resp tre integraler? Så man sedan vet om man ska tillämpa divF eller mha normalen?
Om det är enklast att beräkna dubbelintegralen, beräkna den. Om det är enklast att beräkna trippelintegralen, beräkna den.
Smaragdalena skrev:Om det är enklast att beräkna dubbelintegralen, beräkna den. Om det är enklast att beräkna trippelintegralen, beräkna den.
Ja ja..
Jag ska kolla lite.. Förstå, andas (haha!) och så säger jag.. På återseende :-)
Smaragdalena skrev:Om det är enklast att beräkna dubbelintegralen, beräkna den. Om det är enklast att beräkna trippelintegralen, beräkna den.

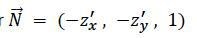
Detta är den formeln jag såg för normalen. Då är det funktionen F man tittar på? Inte ytorna/planen osv?
Så i bild 2. Då får vi normalen (0,0,-1+2z) ? :S