Ge en ekvation för en cirkel
Jag har kört fast på en uppgift och skulle behöva hjälp att ge en ekvation för en cirkel som går genom
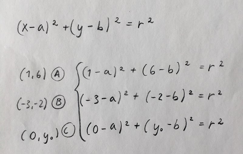
(1,6), (-3,-2) och har sin medelpunkt på y-axeln.
Att medelpunkten finns på y-axeln ger att vi även har en punkt (0,y_0).
Jag kan kalla medelpunkten (a,b) och radien r och sätta upp tre ekvationer.
Men jag vet ju att a=0. Ska jag sätta in 0 i stället för a?
Eller det kanske försvårar det hela?
Jag har börjat så här:


Bra början!
Tydlig beskrivning och snygg figur!
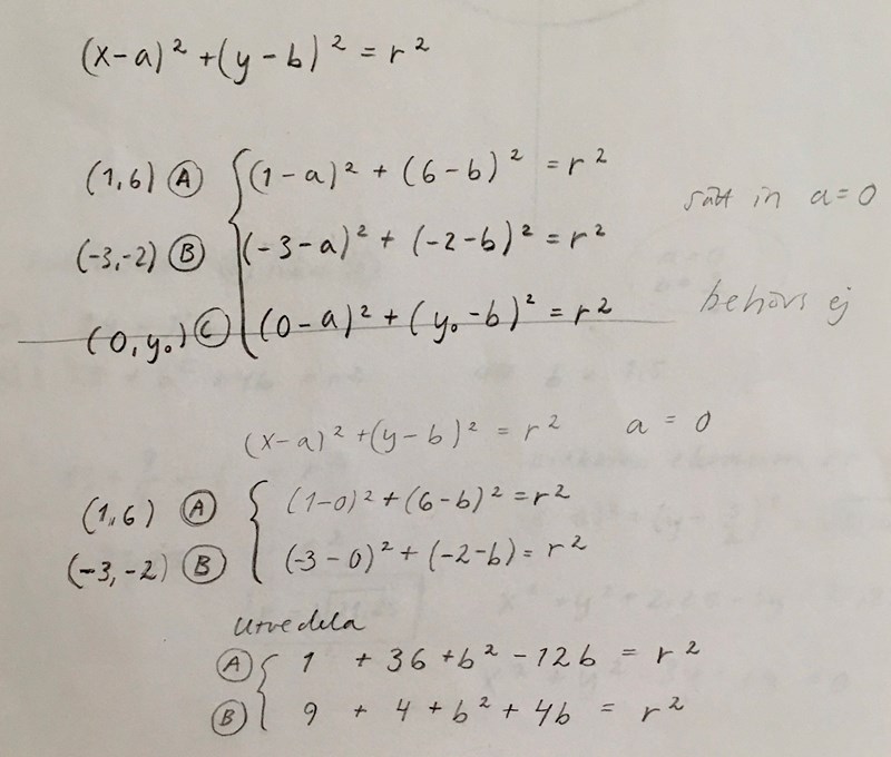
Jag skulle nöja mig med de två första ekvationerna och sätta a = 0, precis som du skriver.
Du har då två ekvationer för de båda obekanta b och r.
------
Att lägga till en tredje ekvation och samtidigt införa en tredje obekant komplicerar bara problemet.
Förutom att det räcker med de två första ekvationerna kan det också vara bra att känna till att det bara är punkter på cirkeln som uppfyller cirkelns ekvation. Cirkelns medelpunkt ligger inte på cirkeln.
Sätt in allt du vet, alltså även att a = 0. Då har du har ett ekvationssystem med 3 ekvationer och 3 obekanta (b, y0 och r) så det borde gå att lösa.
Behöver du mer hjälp, så visa hur du har försökt och hur långt du har kommit.
EDIT: Jag föll tydligen i samma fälla som Yngve.
Jroth skrev:...
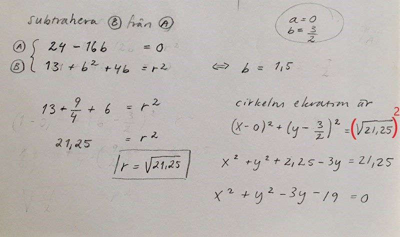
det bara är punkter på cirkeln som uppfyller cirkelns ekvation. Cirkelns medelpunkt ligger inte på cirkeln.
Bra fångat. Jag läste inte den tredje ekvationen tillräckligt noga.
Tack!
Ja, just det.
Tre punkter som ligger på cirkeln kan inte utgöra en rät linje.
Men en rät linje kan gå igenom två punkter på cirkeln och medelpunkten, som i det här fallet.
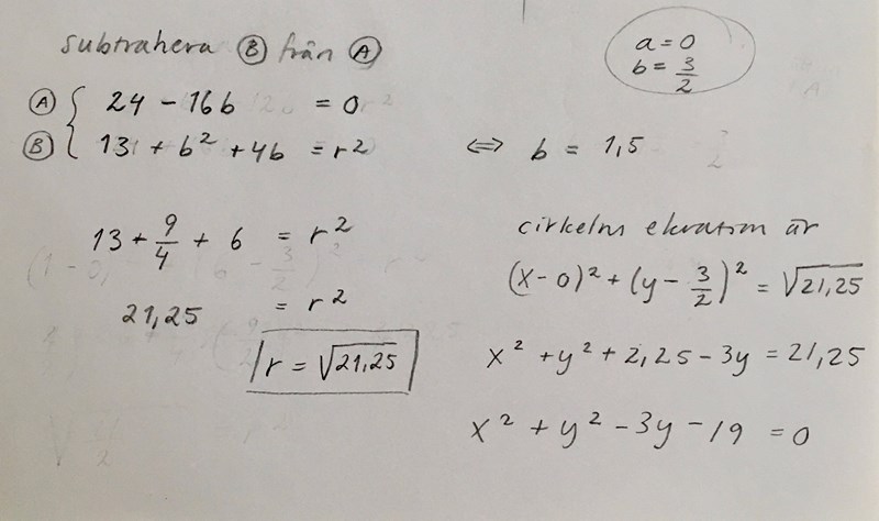
Nu har jag löst uppgiften med er hjälp.
Cirkelns ekvation är
x^2 + y^2 - 3y - 19 = 0.


Kanelbullen skrev:Tack!
Ja, just det.
Tre punkter som ligger på cirkeln kan inte utgöra en rät linje.
Men en rät linje kan gå igenom två punkter på cirkeln och medelpunkten, som i det här fallet.
En rät linje har inget med uppgiften att göra.
Hej Yngve!
Jag tänkte så här:
Det såg ut i bilden jag gjorde som att det kunde vara så att de tre punkterna utgjorde en rät linje.
Och i sådana fall så skulle punkten som är medelpunkten inte vara till någon hjälp eftersom tre punkter som ligger i en rät linje inte kan vara punkter PÅ cirkeln.
Jag inser nu att detta var en mycket långsökt reflektion och att det viktiga i sammanhanget är just det som ni påpekat: Mittpunkten ligger inte på cirkeln.
Kanelbullen skrev:Tack!
Ja, just det.
Tre punkter som ligger på cirkeln kan inte utgöra en rät linje.
Men en rät linje kan gå igenom två punkter på cirkeln och medelpunkten, som i det här fallet.
Det är endast om en linje mellan två punkter på periferin till en cirkel är en diameter som en linje mellan dem passerar genom cirkelns mittpunkt. Vad är det som säger att så är fallet i den här uppgiften?
Nej, det finns ingenting i uppgiften som tyder på att det skulle vara en diameter.
Tack larsolof
