Ge ett polynom av grad tre som går genom givna punkter
Hej! Jag har fastnat på en uppgift eftersom jag inte riktigt vet hur jag ska forstätta med infirmationen jag har.
Detta är uppgiften: 
Jag har som sagt kommit en bit på uppfiten men är inte säker på hur jag ska använda informationen jag har.
Detta är alltså det jag har hittills: 
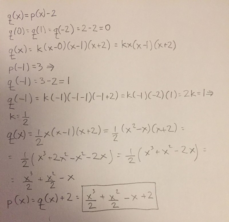
Det jag gjorde var alltså att glra en funktion q(x) som har sina nollpunkter där p(x) är två. Detta för att göra uppgiften enklare.
Jag skulle uppskatta lite hjälp på vägen. Tack :)
Ser bra ut, men sätt:
Konstanten kan bestämmas genom villkoret:
Nej, det du har gjort stämmer inte. Det hade fungerat om p(x)-värdena hade varit lika med 0, men inte nu när de är 2.
Du vet ju fyra punkter som ligger på tredjegradskurvan: (-1,3), (0,2), (1,2) och (-2,2).
En tredjegradsfunktion kan alltid skrivas som p(x)=ax3+bx2+cx+d. Om du stoppar in att punkten (0,2) ligger på kurvan vet du att 2=a.03+b.02+c.0+d, så du vet att d=2. Sätt in de tre andra punkterna också, så får du ett ekvationssystem med tre ekvationer och tre variabler som du kan lösa.
Smaragdlena, kan du berätta vad som är fel med nedanstående lösning (som du påstår inte fungerar)?

Jag läste fel och observerade inte bytet från p(x) till q(x). Det sättet var smartare än den metod jag tänkte på.