3
svar
127
visningar
lund behöver inte mer hjälp
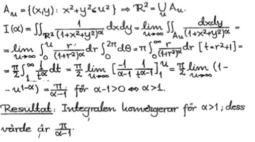
Generaliserad dubbelintegral
Hej, jag vill lösa följande integral och finna för vilka reella tal som integraler konvergerar. Integralen är följande och skulle behöva ha hjälp att tolka följande lösning.

Det jag inte förstår är varför de sätter utanför integralen när ?
Jättelänge sedan jag gjorde detta. Men när man går från dxdy till drdtheta så får man en faktor 2r eller liknande?
Det ska vara en faktor 2, som du säger. Senare försvinner i stället faktorn 1/2 som de har fått där, så felen tar ut varandra.
Tack Laguna, jag var på hal is där.