1
svar
115
visningar
Generaliserad dubbelintegral
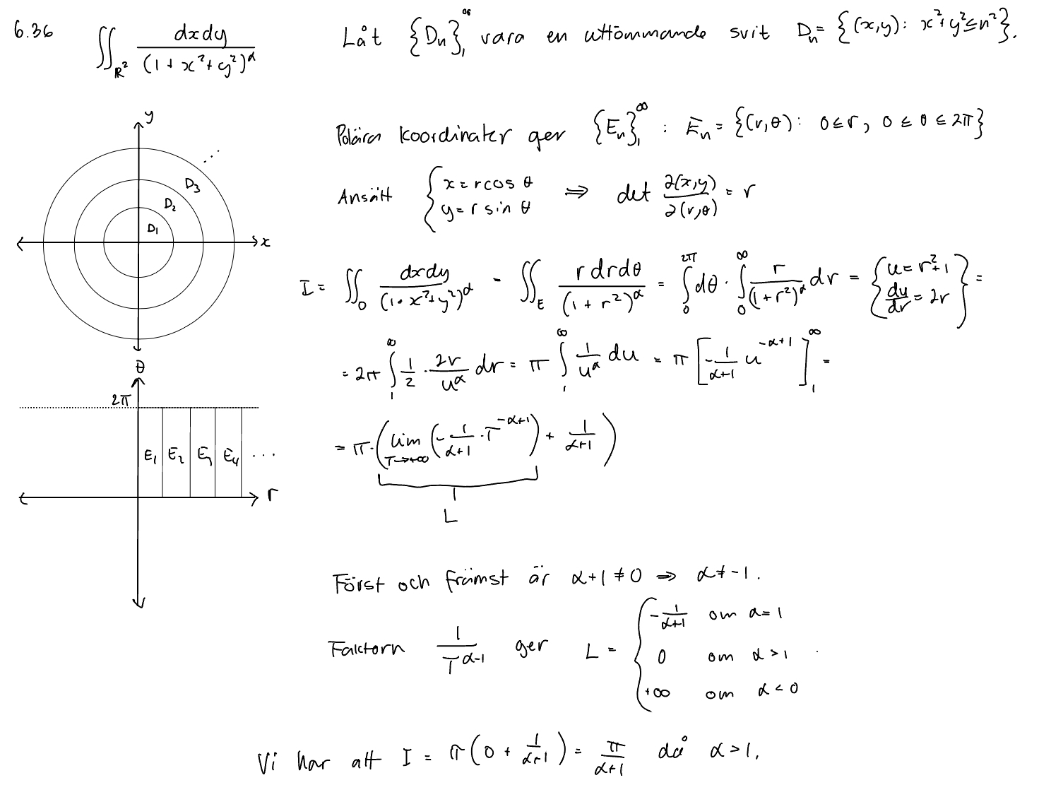
Hej! Jag ska bestämma för vilka reella tal som följande integral konvergerar, samt vad värdet blir.

Rätt svar är det jag har skrivit, men min fråga är varför ger inte α=1 ett svar; att I = 0?
Jag är inte helt säker på att jag förstår din fråga men för gäller att då , dvs
är divergent