generaliserad integral
Hej
jag behöver hjälp med hur man ska lösa generaliserade integraler
Beräkna den generaliserade integralen
Ska man inte först hitta en primitiv funktion till lnx? eller ska man bara ta =ln1-ln0
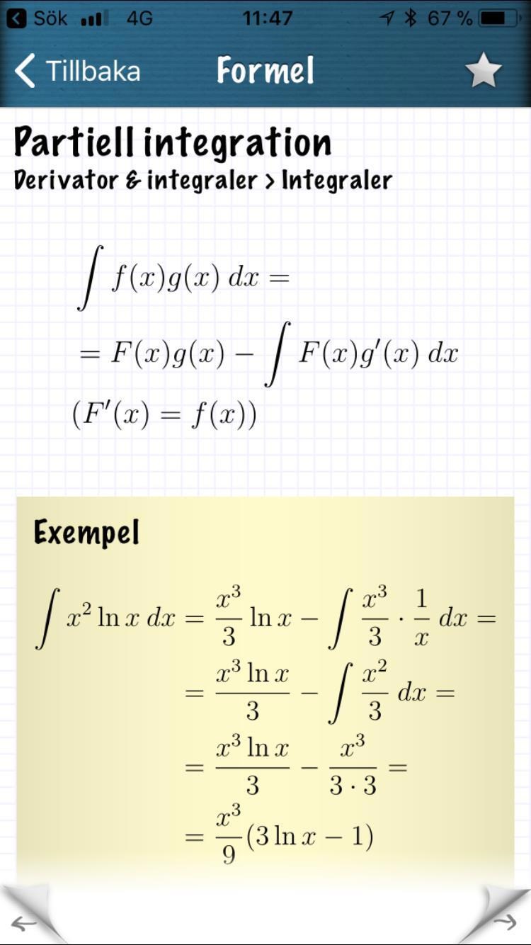
Beräkna integralen först med partiell integration (se nedan). Därefter behöver du beräkna gränsvärden i de fall du inte kan sätta in gränserna direkt, t.ex. .
Den där integralen kallas generaliserad för att värdet av ln(x) går mot negativa oändligheten vid undre gränsen. Generaliserade integraler är de som har gränser eller integrand-värden som inte är ändliga. Du ska hitta en primitiv funktion och värdet av integralen.
För att hitta en primitiv funktion kan du partialintegrera och tänka att (FG)' = fG + Fg där F'=f och G'=g. Det är lätt att hitta F och G såna att fG är den generaliserade integralen du ska beräkna, men man ser tyvärr ut att vara tvungen att luta sig mot l'Hospital där för att utvärdera integralen vid undre gränsen.
Andra kanske har mer kreativa förslag...
Är bra att känna till följande standardgränsvärden, specifikt h) i detta fall.
tomast80 skrev :
Beräkna integralen först med partiell integration (se nedan). Därefter behöver du beräkna gränsvärden i de fall du inte kan sätta in gränserna direkt, t.ex. .
okej jag är med fram till steget där dom går från att ha för att sedan i nästa steg få hur kommer man dit?
Den primitiva funktionen F till en funktion f är sådan att dess derivata är lika med f, dvs F' = f. Du kan ju se att om man deriverar så får man . Det är nästan lite mystiskt att du inte ser det, eller så är det helt enkelt enklare än du tror.
:)