Generaliserad integral
På följande uppgift förstår jag inte hur man satt gränserna på x och y som man gjort, alltså och sedan .Behöver hjälp med hur man ska tänka med och

Jag tänker så här: Funktionen 1/sqrt((2x-2y) är ganska vild (nära oändlig) nära linjerna x=y och x=0; Alltså vill vi undvika att be
höva beräkna den där och det gör vi med att skapa ett litet avstånd epsilon till den farliga linjen sen krymper vi avståndet och
lycka! funktionen växer långsamt nog för att integralen ska ha ett gränsvärde.
Men hur går x mellan epsilon och 1 och y mellan 0 och x-epsilon?
Rita en bild. Du borde få en triangel som går mellan (0,0) (1,1) och (1,0). Den diagonala linjen går inte att stoppa in, för då blir det /0.
Då går de istället precis innanför linjen, alltså flyttar den nedåt ett litet steg (tänk kx+m, där y= x först, sen när vi sänkt är y=x-ε, så ε är typ m här).
Sen tittar de i y-led först, undre gränsen till triangeln är 0, övre gränsen den nya linjen.
Sen andra gränsen blir som vanligt längden som går mellan ε och 1 nu för 0 klippte vi bort.
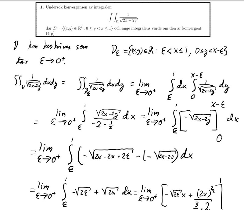
Blir det såhär då (bilden nedan)? Och att man tar gränsvärdet när närmar sig o+, är det + för att alla x värden är positiva eller?

Det är nog mer för att man har bestämt att ε typ alltid är positivt, och det är inte så intressant att göra triangen större och få med linjen som inte fick vara med.