Generaliserad integral
Hej!
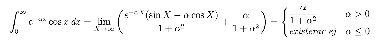
Jag arbetar med denna uppgift (se min lösning nedan):


Jag har gjort samma uträkning som man gjort i facit (se nedan). Men, jag förstår inte deras slutgiltiga resonemang om alphas värde:

Varför existerar inte ett gränsvärde då alpha är mindre eller lika med 0? Och hur kommer det sig att den "stora" termen går mot 0 då alpha är större än 0 (och alltså blir gränsvärdet konstanten)?
När alfa>0, så dominerar e^-alfaX. När alfa=0 dominerar sin X, om alfa <0 dominerar e^alfaX.
rapidos skrev:När alfa>0, så dominerar e^-alfaX. När alfa=0 dominerar sin X, om alfa <0 dominerar e^alfaX.
Tack, jag är typ med på det du skriver. Men jag har fortfarande svårt att se varför detta gäller...
...för de olika värdena på på alfa
e^-alfaX går mot noll snabbast. då alfa >0 och X-> oändligheten. Då återstår konstanttermen.
Då alfa=0 svänger sinX och konvergerar aldrig.
Då alfa<0 går termen e^-(-alfa)X snabbast mot oändligheten alltså konvergerar integralen ej.
Sätt in alfa=1,-1 och 0 och testa.