2
svar
76
visningar
Generaliserad integral, räknar fel på funktionaldeterminanten

Jag räknar fel, men det ska ju vara såhär?

Rätt svar ska bli
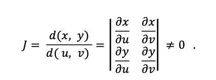
Determinanten borde väl vara ?
Smutstvätt skrev:Determinanten borde väl vara ?
Neee =(