4
svar
117
visningar
sannakarlsson1337 behöver inte mer hjälp
Generaliserad integral, räknar fel på funktionaldeterminanten del 2

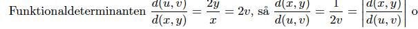
jag använder mit utav::

Rätt svar är:
Men jag får 0.. vad är det jag räjanr för fel?
Vilken derivata har ? :)
Smutstvätt skrev:Vilken derivata har ? :)
ja juste missade den liiiilla där hehe
Äsch, sånt händer! :)
Smutstvätt skrev:Äsch, sånt händer! :)
xD