Generaliserad trippelintegral, sfäriska koordinater
Hej! Uppgiften lyder: 
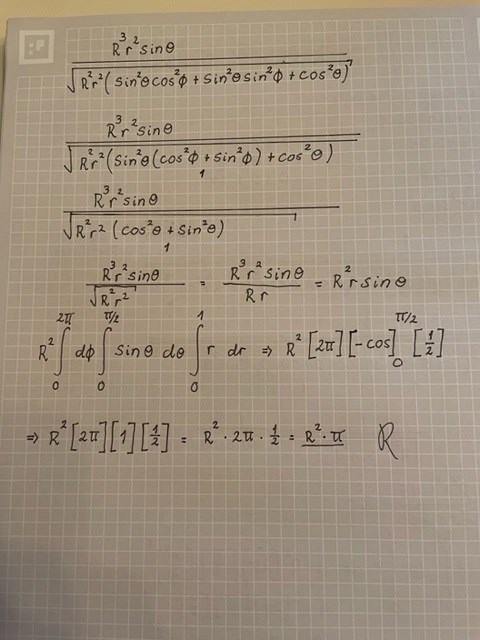
Mitt försök: 
Antar att det måste blivit något fel när jag ersatte x y z i nämnaren med de sfäriska koordinaterna och försökte förenkla uttrycket. Jag har gjort uppgiften ett par gånger nu och fått samma svar samtliga gånger och ser verkligen inte vart jag slarvat någonstans.
Så här ser lösningsförslaget ut: 
Tack på förhand!
Du kan bryta ut R2r2 ur uttrycket under roten, som du gör, men du kan inte bryta ut . Det är inte en faktor i varje term.
Laguna skrev:Du kan bryta ut R2r2 ur uttrycket under roten, som du gör, men du kan inte bryta ut . Det är inte en faktor i varje term.
Jag upptäckte mitt fel nu. Var lat och tänkte inte på att jag ju inte kan använda mig av trig.ettan innan jag brutit ut en av termerna. Bifogar min lösning nedan för de som är intresserade.
Tack för snabbt svar!

