1
svar
110
visningar
Rickyboi behöver inte mer hjälp
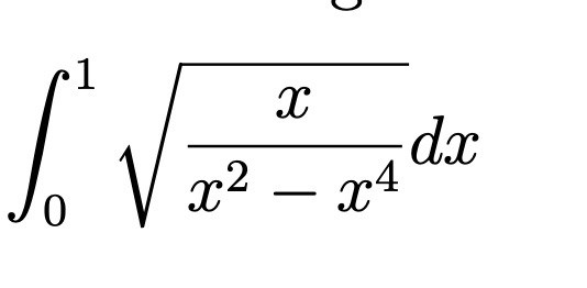
Generaliserade integraler

Vad blir första steget här?
Jag föreslår att bryta ut x2 ur nämnaren och sedan sätta u2 = x.