1
svar
96
visningar
3.14 behöver inte mer hjälp
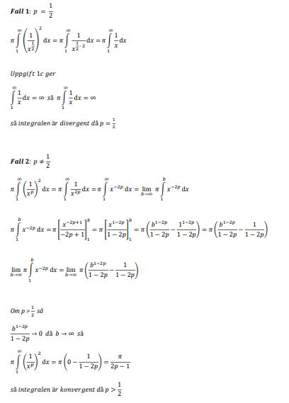
Generaliserade integraler - rotationskropp

Jag har försökt att lösa uppgiften men vet inte om min uträkning är rätt, kan någon förklara hur man ska göra?


Och finns det fler fall som man kan dela problemet i?