1
svar
139
visningar
Jaggeponken behöver inte mer hjälp
Generellt sätt för approximation av kvadratrötter?
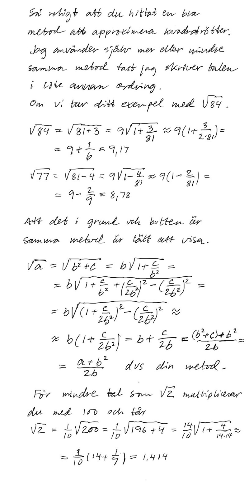
Jag undrar om jag kan formulera följande efter att ha tittat på approximation av kvadratrötter. Ville hitta ett generellt sätt att beskriva det. Kom fram till detta. Verkar funka bra med bra approximation. a är ett tal vi vill dra roten ur, och b är närmsta perfekta rot. 
