Geogebra
Jag behöver hjälp med GeoGebra!
Om jag t ex ska beräkna 10x - 2 = 98, så kommer jag till 10x, men därefter hamnar -2 också i potensen, så att det blir 10x-2 istället. Hur gör man för att avsluta tiopotensen, och därefter skriva -2?
När textmarkören står i exponentläget, så får du trycka på höger-piltangenten och då kommer textmarkören sätta sig brevid 10x
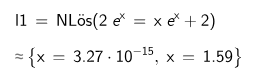
Okey, det var bra att få veta. Jag har skrivit in följande ekvation i GeoGebra: 2ex =xex+2.
Geogebra ritar upp graferna, men hur gör jag om jag vill veta exakt värde på X?
Henrik skrev:Okey, det var bra att få veta. Jag har skrivit in följande ekvation i GeoGebra: 2ex =xex+2.
Geogebra ritar upp graferna, men hur gör jag om jag vill veta exakt värde på X?


Okey, nu börjar det närma sig.
Men vad är det för symbol som du inleder (|), bredvid 1 längst till vänster? Och var hittar jag isf den symbolen i Geogebra? Jag undrar även vilken knapp jag använder när jag skrivit hela sekvensen, och vill se lösningen?
Henrik skrev:Okey, nu börjar det närma sig.
Men vad är det för symbol som du inleder (|), bredvid 1 längst till vänster? Och var hittar jag isf den symbolen i Geogebra? Jag undrar även vilken knapp jag använder när jag skrivit hela sekvensen, och vill se lösningen?
Jag gissar på att det är l1, för "lösning1". Men du kan skriva

utan "etiketten" l1.
Tack för hjälpen, nu har jag äntligen fått till det!