2
svar
81
visningar
Splash.e behöver inte mer hjälp
Geogebra

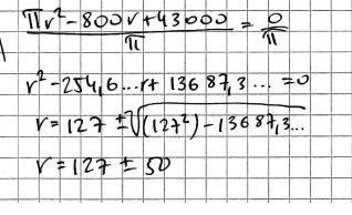
Varför får jag fram detta när det enligt skolverket och pq formeln borde komma up
x1=177
x2=77
Ska det vara 4300 eller 43000?
Laguna skrev:Ska det vara 4300 eller 43000?
jaaa tack så mycket....!!!!