Geometri

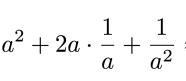
Min fråga är hur jag med hjälp av Pythagoras sats ser om det är en rät vinkel genom att ta reda på hypotenusan i triangeln. Jag förstår steget med att räkna ut katetarna men blir förvirrad när man ska kontrollera hypotenusan på samma triangel.. Hur får de fram
?
Tack!
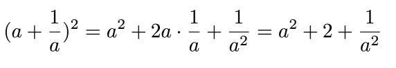
Jätte bra bild.
Du får den stora hypotenusan (a + 1/a) och de två mindre hypotenusorna sqrt(1×1 +a×a), sqrt(1×1 + 1/(a×a)) kolla om pytagoras sats gäller för dessa.
Ursäkta matematiska symbolerna men använder telefonen...
Jag tror att jag har hakat upp mig på själva förenklingen när de är variabler och potenser. Jag ser att jag kan räkna ut hypotenusan för de mindre genom att beräkna de 3 olika sidorna, varav en är den stora hypotenusan, men är denna uträkning de mindre hypotenusorna eller är det den stora utskriven?
Detta är kvatdraten av den stora hypotenusan och summan av kvadraterna av de små hypotenusorna.
evelinaastrid skrev:
Min fråga är hur jag med hjälp av Pythagoras sats ser om det är en rät vinkel genom att ta reda på hypotenusan i triangeln. Jag förstår steget med att räkna ut katetarna men blir förvirrad när man ska kontrollera hypotenusan på samma triangel.. Hur får de fram
?
Tack!
Det som händer på den raden är att man utgår från uttrycket till vänster och förenklar det genom att utföra kvadreringen. När det har förenklats klart har vi det som står till höger (med det i mitten som mellanresultat), och sedan kan man fortsätta med uppgiften, nämligen att jämföra med uttrycket för summan av kvadraterna på de små kateterna.
Om det nu var precis det du undrade över, jag är inte säker.
Tack jo detta var min fråga. :)