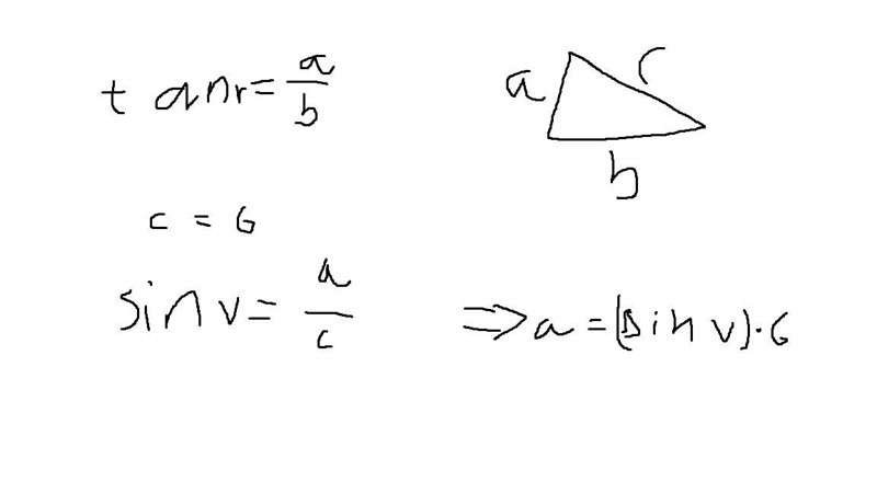
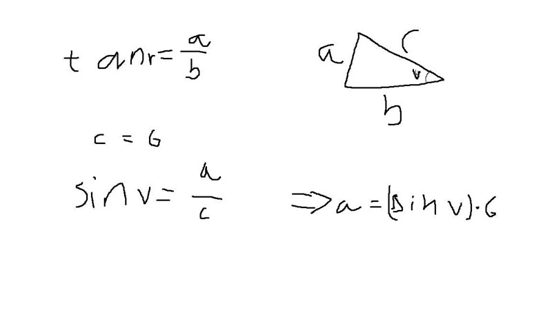
Geometri
Triangeln △ABC är rätvinklig med rät vinkel vid hörnet C och vinkel α vid hörnet A.
Beräkna b=|AC|,
givet att c=|AB|=6, och att tanα=7/2
Så vid hypotenusan är det 6 l.e
Men vad kan man göra med tanα=7/2?
Är de att man tar b = 6*sin(arctan(7/2))
Börja med att rita. Kalla den ena kateten för 7x och den andra 2x. Kommer du vidare? (jag föredrar den metoden framför din, eftersom man ganska snabbt kan se vilken av kateterna som är vilken.
Då får du nån katet, men är det rätt katet?
Rita en bild.

Jag visste inte riktigt hur jag skulle tänka kring ekvationsmetoden helt ärligt men den låter smart dock vet jag ej riktigt varför man kan göra det som en ekvation /:
V är ju arctan(7/2)
Rita in v i din triangel.
Laguna skrev:Rita in v i din triangel.

Det var b jag skulle beräkna men jag beräkna a :P Det är pga det första triangeln jag rita så var b på plats a
Daniel_02 skrev:Laguna skrev:Rita in v i din triangel.
Det var b jag skulle beräkna men jag beräkna a :P Det är pga det första triangeln jag rita så var b på plats a
Vilken vinkel är det som är rät i din triangel? Det syns inte på bilden.