1
svar
160
visningar
Geometri
det är en bild på hur jag räknade uppgiften men på facit står det nåt helt annat tal
vad har jag gjort får fel?
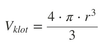
Har du verkligen använt den här formeln:


det är en bild på hur jag räknade uppgiften men på facit står det nåt helt annat tal