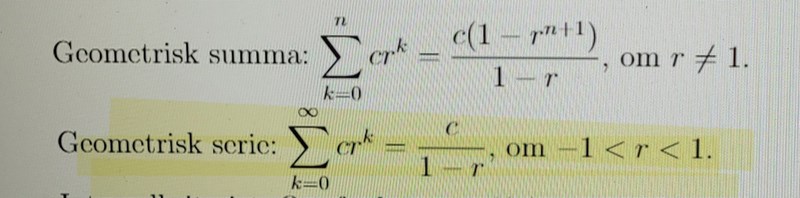
Geometrisk serie


Jag bara undrar om geometriska serien gäller för alla möjliga tal för K dvs inte bar noll som det står i formeln? (I uppgiften döpte jag om c till a).
Tyvärr nej, det gäller bara om k börjar på noll. Men, du kan använda dig av formeln, och sedan subtrahera bort de värden som inte ingår i det tal du ska beräkna, dvs. använd formeln från , och sedan subtraherar du bort värdena då , , och . :)
Är det menat att man ska göra så eller finns det en annan formel?
Nja,
Första termen är i ditt exempel 1/16 och kvoten är 1/2.
Precis som du har visat.
Och då kan du använda dem i formeln.
Precis som du har gjort.
Men varför säger då formeln att man ska börja med K=0?
offan123 skrev:Men varför säger då formeln att man ska börja med K=0?
För att man skall kunna lära sig EN formel och sedan justera den tills den passar för uppgiften man behöver lösa, i stället för att lära sig en formel som börjar på k = 1, en som börjar på k = 2, en som börjar på k = 3 och så vidare.