Geometrisk serie (geometrisk summa?)
Ännu en uppgift som jag inte vet hur jag ska tolka:

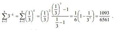
Jag har börjat att räkna på den men när jag sedan kikade på facit så ser jag detta

Nu förstår jag inget alls. Det måste stå fel i facit, va? Det de skriver handlar om en geometrisk summa. Uppgiften handlar om geometrisk serie. Visst?
Antingen står det fel i facit, eller så står det fel i frågan. Det går inte att avgöra vilket. och är inte samma sak, även om de har vissa utseendemässiga likheter.
Jag märkte nyss att både och kan använda samma formel. Stämmer det? Jag får rätt svar på båda:

Skillnaden är att du gör en limes-beräkning när du har oändligt många termer, det behövs inte när det är ändligt många termer i summan. Annars är det alldeles samma formel, precis som du har märkt.
Tack! Jo jag vet att det inte behövs men det blir lite tydligare för min hjärna om jag skriver det :)