Geometrisk summa
Hej!
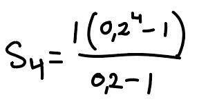
Jag skulle verkligen behöva hjälp med följande uppgift! Den geometriska talföljden är 1, 2/10, 4/100, 8/1000 etc. Jag har kommit fram till att formeln ser ut som följande (för de 4 första termerna):

Uppgiften är:

Skulle bli så glad ifall jag fick hjälp med hur jag ska göra! Tack på förhand! :)
Sn=(0,2)n-1
Summa Sn x (1-0,2)= blir bara första termen när n går mot oändligheten = det vill säga bara 1 kvar
Så lim Sn = 1/(1-0,2) = 5/4
Förlåt första uttrycket var inte summan utan termerna i talföljden
Tack så jättemycket!! Jag har skrivit rätt formel va?
S4=(0,2)1-1+(0,2)2-1+(0,2)3-1+(0,2)4-1=1,248
Din formel blir inte det så den stämmer tyvärr inte.
Du förstod resonemanget att multiplicera med (1-0,2) som leder till att alla termer utom första och sista försvinner?
Ledsen att jag var för slarvig i min manuella uträkning. Din formel är ju rätt!
S4 (1-0,2)= 1 + 0,2 + 0,04 + 0,008 - 0,2 - 0,04 - 0,008 - 0,00016 = 1 - 0,00016 = 1 - (0,2)4
S4 = (1-(0,2)4)/(1-0,2)
vilket är samma som ditt uttryck
Bra!