Geometrisk summa

Formeln för en geometrisk summa är väl
= 3^1 = 3
r = 3
r^n = 3^x
men det är annorlunda än det de kom fram till i lösningen, vad gör jag för fel?
Dessutom, jag märkte nu att när de använder formeln för geometrisk summa så skriver de att i=0, men i uppgiften står det i=1. Är det ett misstag eller ska det vara så?
Jag förstorade din bild så det är enklare att se.
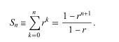
Facit använder denna formeln för ;

Dracaena skrev:Jag förstorade din bild så det är enklare att se.
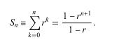
Facit använder denna formeln för ;
Men då blir svaret Sn = som ändå är fel enligt facit. Får jag fråga varför den formel jag använder för Sn är fel? Den finns nämligen i min bok.
Man kan skriva formeln för en geometrisk summa antingen så att man börjar med indexet 0 eller med indexet 1. Båda sätten är korrekta, men högerledet kommer att se olika ut i de båda fallen.
(Detta gör att det är stört omöjligt att komma ihåg den formeln utan formelsamling för mig - om jag inte har formelsamling skulle jag vara tvungen att härleda formeln innan jag använder den!)
kristoffer2020 skrev:
som ändå är fel enligt facit...
Vad händer om du multiplicerar täljaren och nämnaren med ?
Dracaena skrev:kristoffer2020 skrev:
som ändå är fel enligt facit...
Vad händer om du multiplicerar täljaren och nämnaren med ?
Jahaa, okej! Tack för hjälpen!
Man kan förlänga med vad man vill (bara man multiplicerar täljare och nämnare med samma tal). Ibland blir det snyggare om man förlänger med -1.
Smaragdalena skrev:Man kan förlänga med vad man vill (bara man multiplicerar täljare och nämnare med samma tal). Ibland blir det snyggare om man förlänger med -1.
Förstår det nu, tack. Nu blir jag dock förvirrad igen över en annan sak med uppgiften, varför subtraherar de med 1 på vänsterled i lösningen? Det ska väl bara finnas två termer på VL när man dragit roten ur medan det på HL är
