Geometrisk summa exakt
Hej
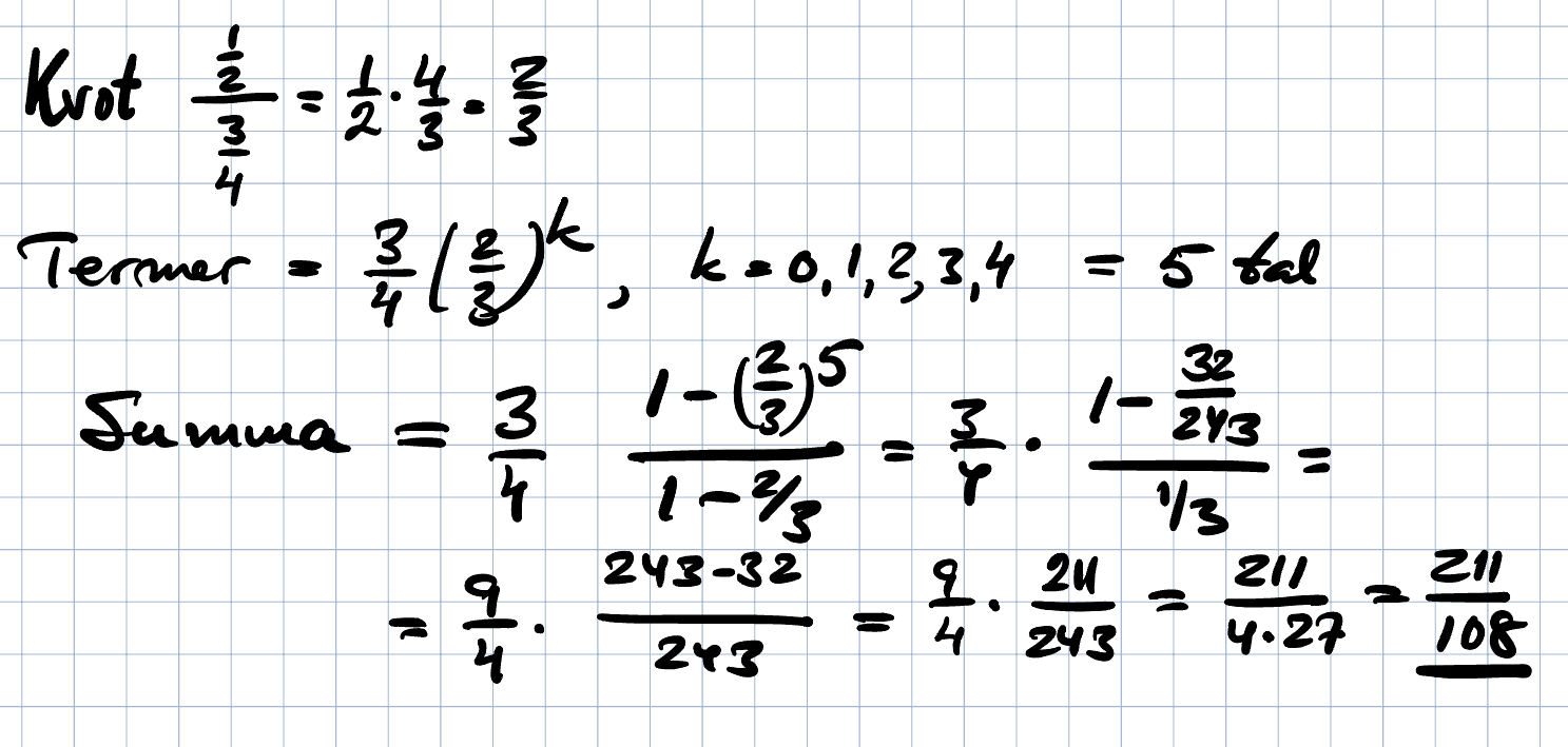
På fråga 2254 svarar facit 211/108. Jag svarade 52.75/27. Vilket är samma sak. Jag undrar om mitt svar av någon anledning inte anses vara riktigt korrekt ändå? Decimaler i bråktal kanske inte ingår i definitionen 'exakt'?

Beror på vilka konventioner man följer.
I ett matematikprogram som Mathematica betraktas decimaltal som närmevärden
om man t ex adderar dem med "heltalsbråk" eller andra exakta tal.
3/4 + 1/2 + 1/3 blir 19/12
3/4 + 0.5 + 1/3 blir 1.58333 (med 6 siffrors noggrannhet)
1 + blir just det och inget annat
1.0 + blir 2.41421 (med 6 siffrors noggrannhet)
Men för oss är väl 3/4 = 0,75 (exakt)
Eller sägs det något annat i din bok?
Dkcre skrev:Hej
På fråga 2254 svarar facit 211/108. Jag svarade 52.75/27. Vilket är samma sak. Jag undrar om mitt svar av någon anledning inte anses vara riktigt korrekt ändå? Decimaler i bråktal kanske inte ingår i definitionen 'exakt'?
Var går du över till decimaltal?

Ett bråk är snyggast när täljare och nämnare är heltal.
Att skriva på annat sätt kan vara bra i vissa fall, t. ex. om det finns någon speciell anledning här till att ha just 27 i nämnaren.