4
svar
126
visningar
Geometrisk summa, lös ekvationen

Hej!
Jag skulle vilja få hjälp med att lösa den här ekvationen. Det jag främst inte är med på är hur man löser parantesen.
Det där ser inte riktigt ut som någon ekvation ens?
Hur ska jag tänka kring parantesen om n=5?
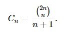
Om du vill beräkna värdet på uttrycket så är det i täljaren en binomialkoefficient. Det gäller generellt att
Så för ditt fall så har du ju att om så är
Toppen!