2
svar
131
visningar
mattegäri behöver inte mer hjälp
Geometrisk talföljd (räkneregler)

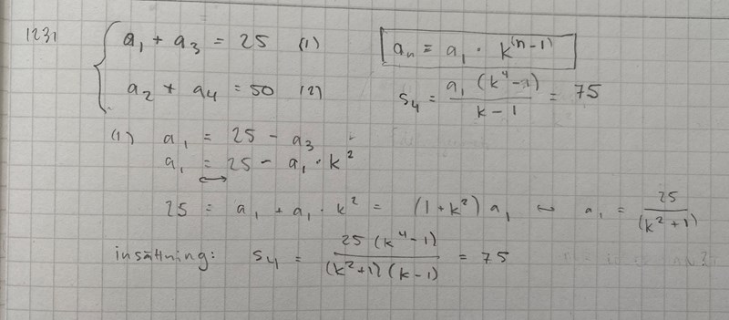
Det känns ok tills sista steget. Har inga bra grunder i matte så fattar inte hur man ska lösa ut k i sista ekvationen? Det finns många liknande uppgifter så fastnar alltid på samma steg i uträkningen!
Du har gjort helt rätt fram till sista uttrycket.
Nu kan du med stor fördel använda konjugatregeln för att förenkla. Se teori här
Du kan skriva
Samt ytterligare förenkla med samma regel på
Då blir uttrycket mycket enklare.
Alternativt kan man räkna: