11 svar
191 visningar
Marcus N behöver inte mer hjälp
Marcus N 1775
Postad: 23 aug 2022 15:54

Geometristk summa

 

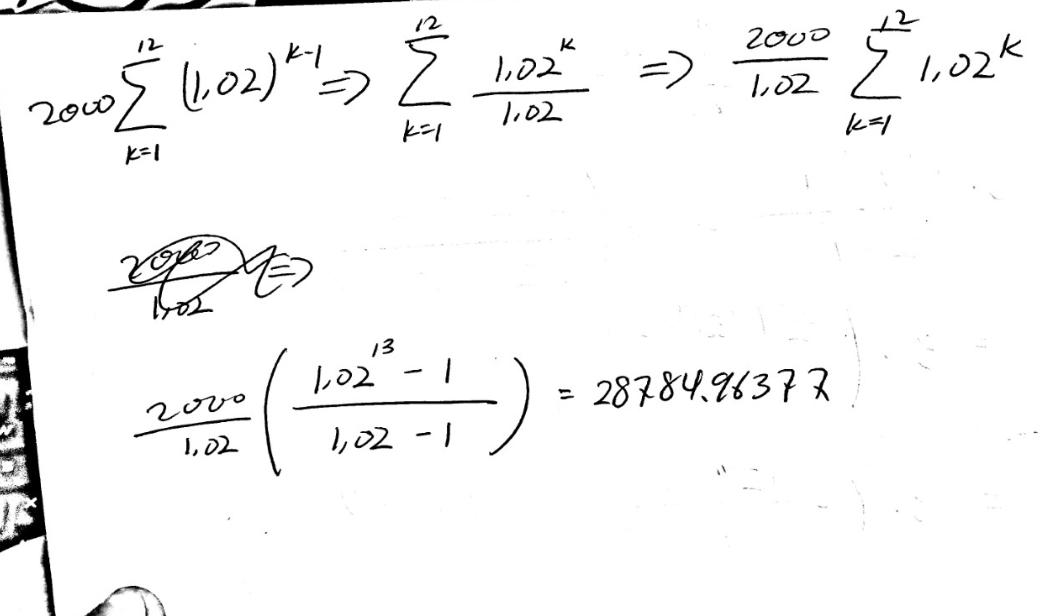
Hur beräkna man den andra summan?

Man borde får samma resultat.

 

Så här har ja försökt:

Bedinsis 3306
Postad: 24 aug 2022 10:25

Enligt formeln för geometrisk summa så skall man summera från och med att k=0 till och med att k=n-1. Du tycks utgå från att man skall räkna från och med att k=1.

Marcus N 1775
Postad: 24 aug 2022 10:48

Nej, jag hänger inte med. 

Bedinsis 3306
Postad: 24 aug 2022 10:53 Redigerad: 24 aug 2022 10:55

Du hade

20001,02*k=1121,02k

Som du skrev om till

20001,02*1,0213-11,02-1

För att göra den omskrivningen måste det dock stå

20001,02*k=0121,02k

Marcus N 1775
Postad: 25 aug 2022 14:30

Marcus N 1775
Postad: 25 aug 2022 14:33

Så här har de svarat i facit:

Vad är 10^5 ?

Bedinsis 3306
Postad: 25 aug 2022 14:47

Det är 100000, eller med andra ord samma sak som 20001,02-1.

På samma sätt är uttrycket innanför parentesen samma sak som 1,0213-1,021,02=1,021312-1,021,02=1,0212-11=1,0212-1.

Marcus N 1775
Postad: 25 aug 2022 14:56 Redigerad: 25 aug 2022 14:57
Bedinsis skrev:

Det är 100000, eller med andra ord samma sak som 20001,02-1.

På samma sätt är uttrycket innanför parentesen samma sak som 1,0213-1,021,02=1,021312-1,021,02=1,0212-11=1,0212-1.

Jag har 20001.02 inte 20001.02-1 som koefficieten !!!Och den uttrycket innanför paretesen borde blir:1.0213-1.021.02-1 inte 1.0213-1.021.02 !!!

Bedinsis 3306
Postad: 25 aug 2022 15:01

Byt plats på de två nämnarna och du ser att du har fått samma svar som i facit. Det var det jag gjorde.

Marcus N 1775
Postad: 25 aug 2022 15:04
Bedinsis skrev:

Byt plats på de två nämnarna och du ser att du har fått samma svar som i facit. Det var det jag gjorde.

Men om man byta plats på nämnare då är det inte längre den här formen du räknar på:

2000*k=1121.02k-1!!!

Bedinsis 3306
Postad: 25 aug 2022 15:08

Vad jag menar är:

Du använde formeln för geometrisk summa och detta ledde till att du fick följande uttryck:

20001,02*1,0213-1,021,02-1

Då skall vi alltså räkna ut ovanstående uttryck. Oavsett om vi kom fram till uttrycket mha. formeln för geometrisk summa eller något annat. Vad har vi då där? Ett bråk gånger ett bråk. Detta löses genom att multiplicera täljare med täljare och nämnare med nämnare.

2000*1,0213-1,021,02*1,02-1

Man kan också dela upp detta igen, och det görs förslagsvis på följande vis:

20001,02-1*1,0213-1,021,02

Och sedan kan man lösa det som i inlägg #7.

Marcus N 1775
Postad: 25 aug 2022 15:35

Okej, jag förstår nu.

Svara
Close